Официальное опубликование правовых актов
ОФИЦИАЛЬНОЕ ОПУБЛИКОВАНИЕ
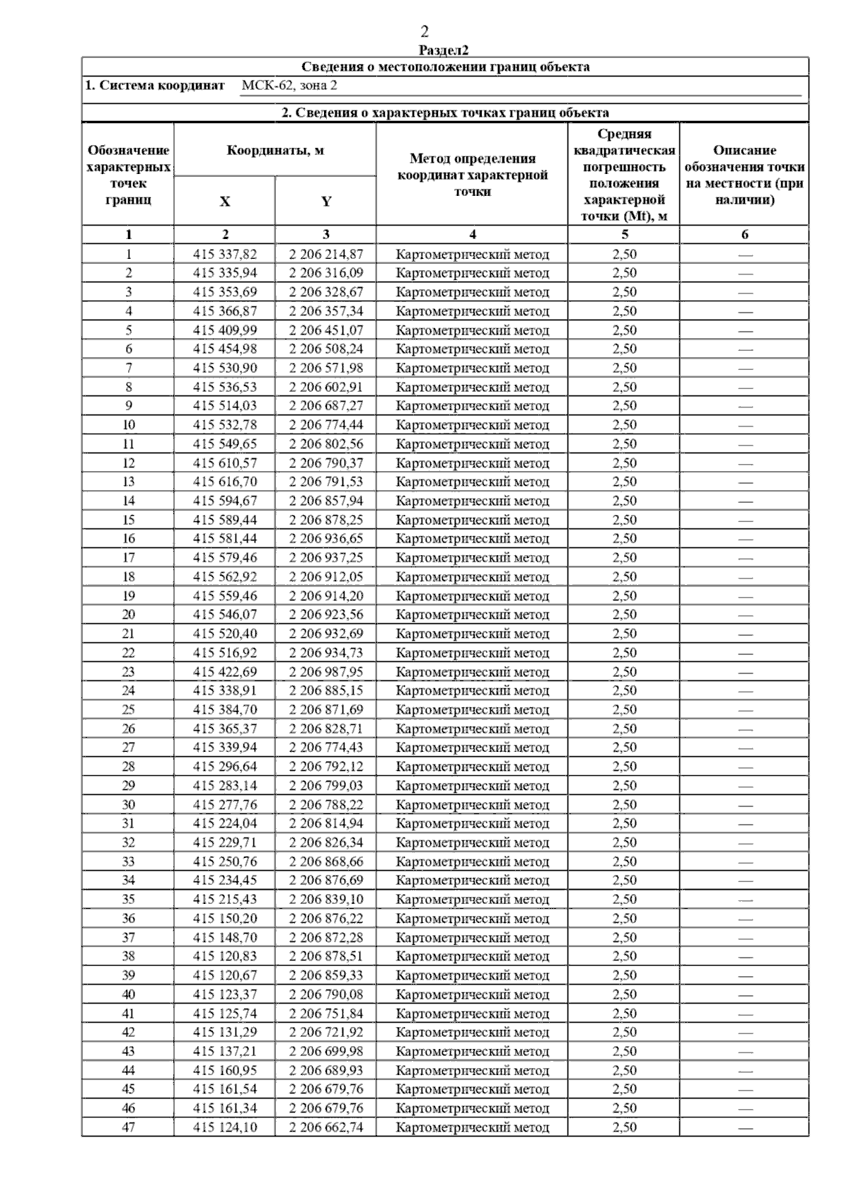
Постановление Главного управления архитектуры и градостроительства Рязанской области от 10.12.2025 № 1100-п
"О внесении изменений в правила землепользования и застройки муниципального образования – Санское сельское поселение Шиловского муниципального района Рязанской области применительно к населенным пунктам с. Юшта, с. Федосеево-Пустынь"
(Зарегистрирован 11.12.2025 № 1636)
Номер опубликования: 6201202512160018
Дата опубликования: 16.12.2025
Страница №7 из 11:
Увеличить