Официальное опубликование правовых актов
ОФИЦИАЛЬНОЕ ОПУБЛИКОВАНИЕ
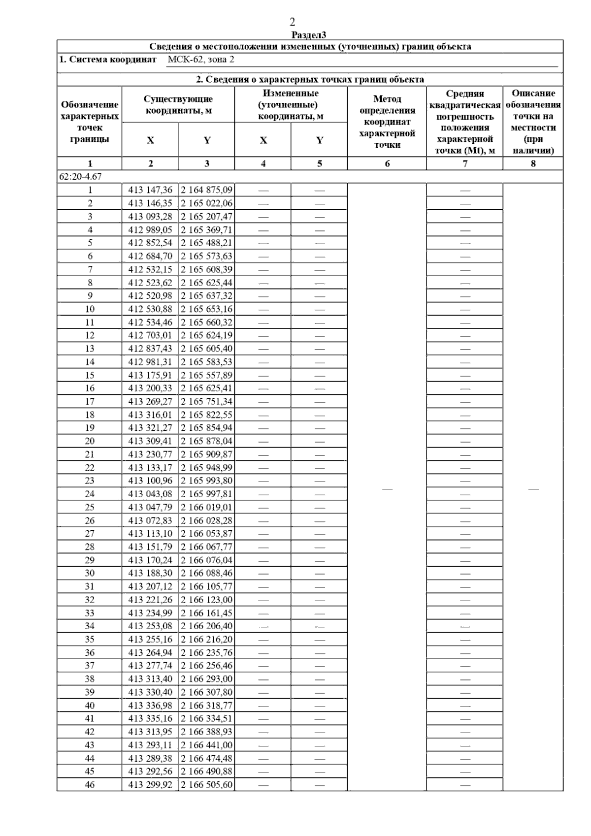
Постановление Главного управления архитектуры и градостроительства Рязанской области от 10.12.2025 № 1092-п
"О внесении изменения в генеральный план муниципального образования – Перкинское сельское поселение Спасского муниципального района Рязанской области"
(Зарегистрирован 10.12.2025 № 1627)
Номер опубликования: 6201202512160005
Дата опубликования: 16.12.2025
Страница №4 из 13:
Увеличить