Постановление Главного управления "Региональная энергетическая комиссия" Рязанской области от 05.12.2025 № 106
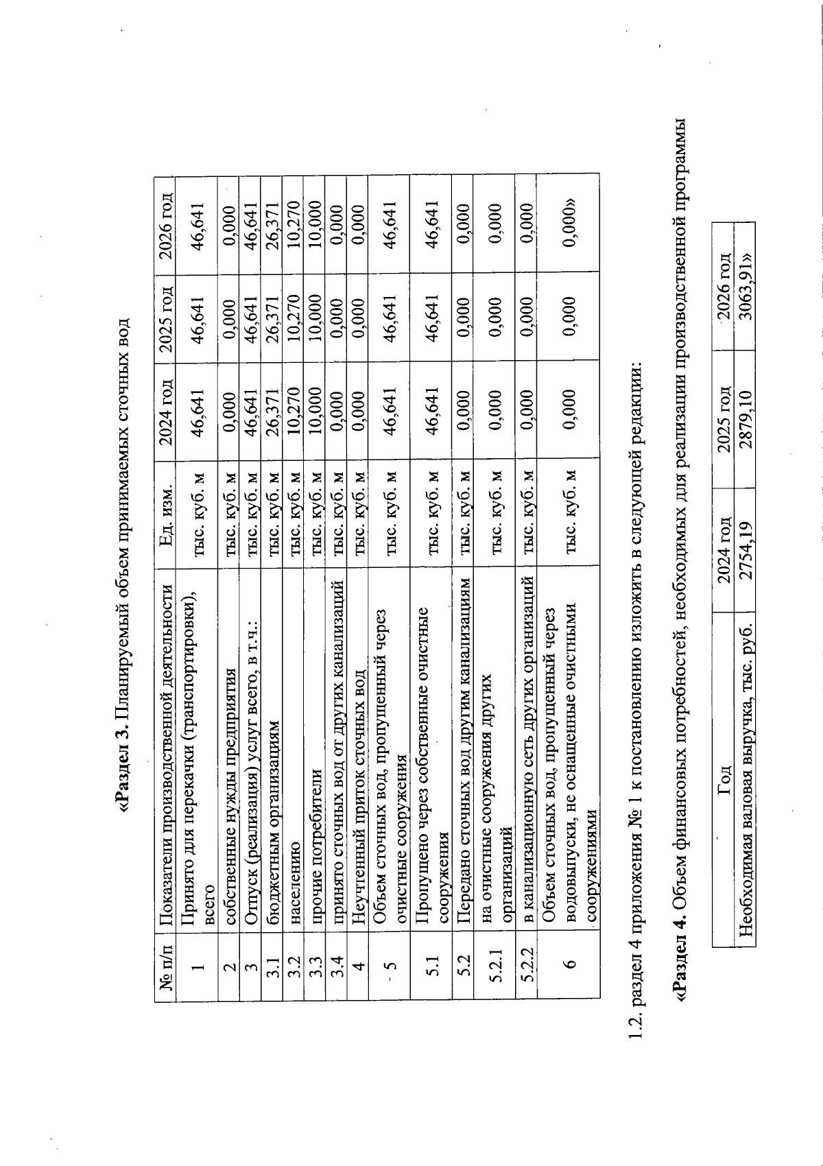
"О внесении изменений в постановление ГУ РЭК Рязанской области от 03 июня 2024 г. № 26 "Об установлении тарифов в сфере водоотведения для потребителей МКП "Водоотведение" в р.п. Елатьма Касимовского муниципального округа"
(Зарегистрирован 05.12.2025 № 1560)
"О внесении изменений в постановление ГУ РЭК Рязанской области от 03 июня 2024 г. № 26 "Об установлении тарифов в сфере водоотведения для потребителей МКП "Водоотведение" в р.п. Елатьма Касимовского муниципального округа"
(Зарегистрирован 05.12.2025 № 1560)
Номер опубликования: 6201202512100008
Дата опубликования:
10.12.2025
