Постановление Главного управления "Региональная энергетическая комиссия" Рязанской области от 05.12.2025 № 99
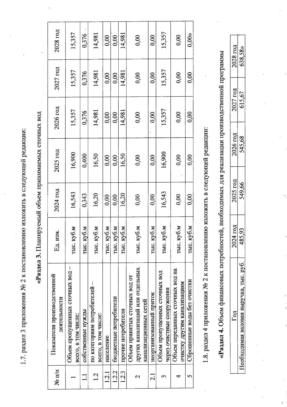
"О внесении изменений в постановление ГУ РЭК Рязанской области от 4 декабря 2023 г. № 249 "Об установлении тарифов на питьевую воду в сфере холодного водоснабжения, водоотведение для потребителей ООО "Газпром трансгаз Москва" в Клепиковском муниципальном районе Рязанской области"
(Зарегистрирован 05.12.2025 № 1553)
"О внесении изменений в постановление ГУ РЭК Рязанской области от 4 декабря 2023 г. № 249 "Об установлении тарифов на питьевую воду в сфере холодного водоснабжения, водоотведение для потребителей ООО "Газпром трансгаз Москва" в Клепиковском муниципальном районе Рязанской области"
(Зарегистрирован 05.12.2025 № 1553)
Номер опубликования: 6201202512100003
Дата опубликования:
10.12.2025
