Официальное опубликование правовых актов
ОФИЦИАЛЬНОЕ ОПУБЛИКОВАНИЕ
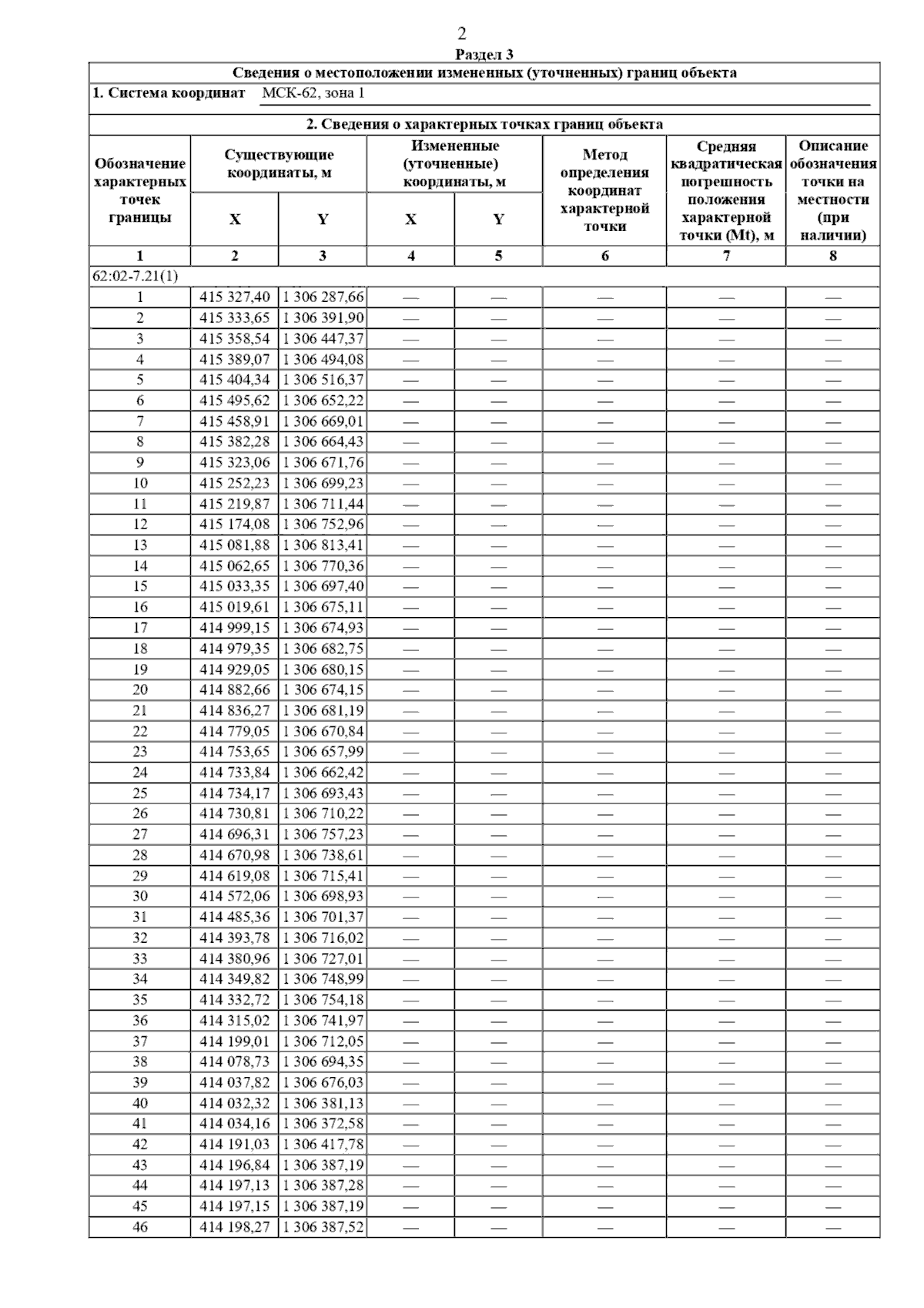
Постановление Главного управления архитектуры и градостроительства Рязанской области от 04.12.2025 № 1060-п
"О внесении изменений в правила землепользования и застройки муниципального образования - Захаровское сельское поселение Захаровского муниципального района Рязанской области"
(Зарегистрирован 05.12.2025 № 1548)
Номер опубликования: 6201202512090005
Дата опубликования: 09.12.2025
Страница №6 из 86:
Увеличить