Официальное опубликование правовых актов
ОФИЦИАЛЬНОЕ ОПУБЛИКОВАНИЕ
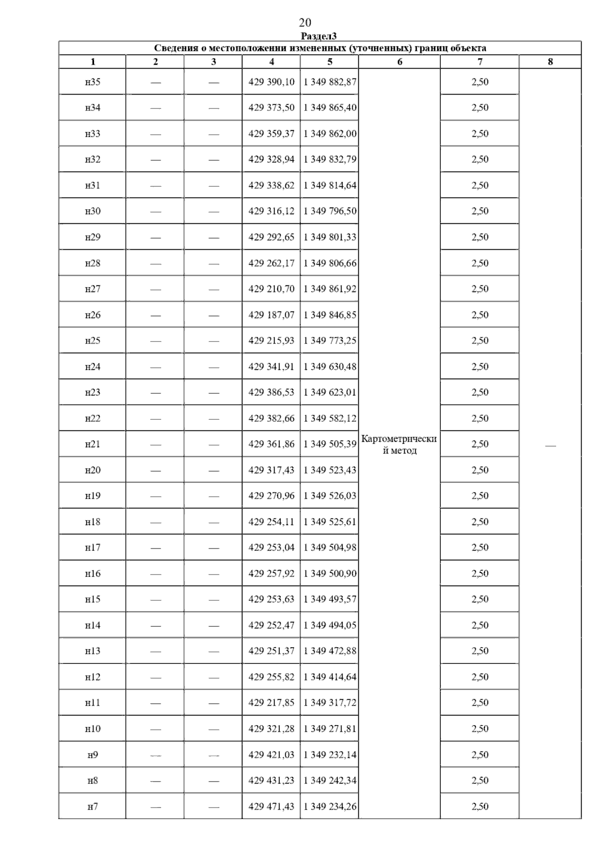
Постановление Главного управления архитектуры и градостроительства Рязанской области от 02.12.2025 № 1048-п
"О внесении изменений в правила землепользования и застройки муниципального образования – Листвянское сельское поселение Рязанского муниципального района Рязанской области"
(Зарегистрирован 03.12.2025 № 1503)
Номер опубликования: 6201202512080020
Дата опубликования: 08.12.2025
Страница №22 из 44:
Увеличить