Официальное опубликование правовых актов
ОФИЦИАЛЬНОЕ ОПУБЛИКОВАНИЕ
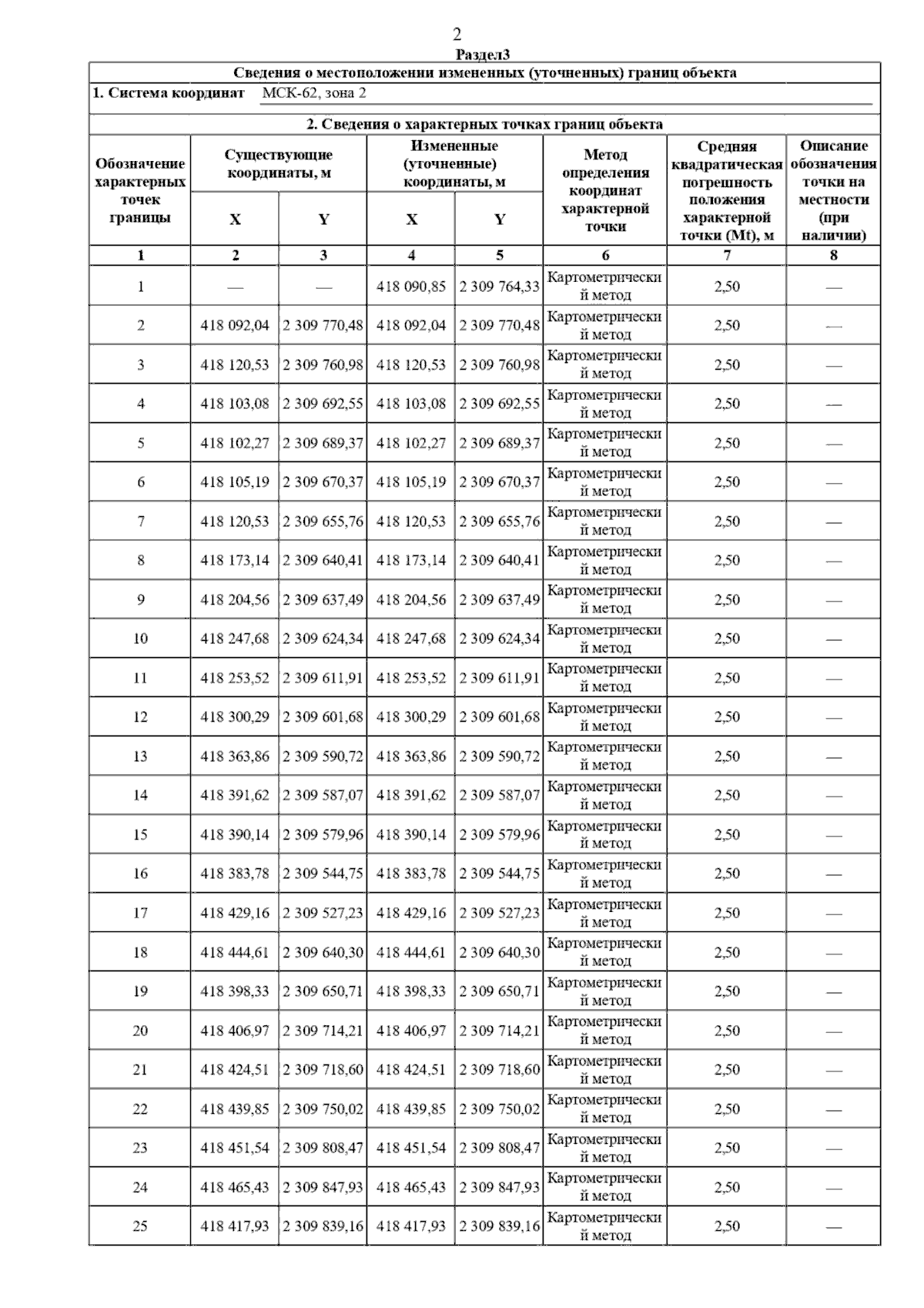
Постановление Главного управления архитектуры и градостроительства Рязанской области от 02.12.2025 № 1042-п
"О внесении изменений в генеральный план муниципального образования – Котелинское сельское поселение Кадомского муниципального района Рязанской области"
(Зарегистрирован 03.12.2025 № 1497)
Номер опубликования: 6201202512080010
Дата опубликования: 08.12.2025
Страница №12 из 21:
Увеличить