Официальное опубликование правовых актов
ОФИЦИАЛЬНОЕ ОПУБЛИКОВАНИЕ
Постановление Главного управления архитектуры и градостроительства Рязанской области от 02.12.2025 № 1039-п
"О внесении изменений в правила землепользования и застройки муниципального образования – Собчаковское сельское поселение Спасского муниципального района Рязанской области"
(Зарегистрирован 03.12.2025 № 1494)
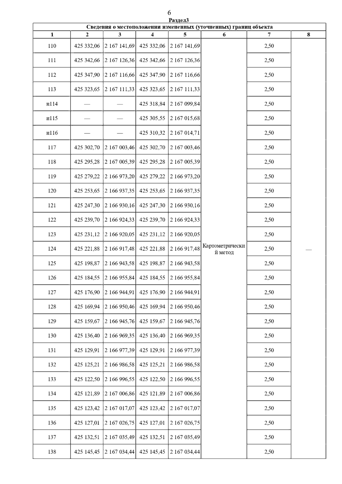
Номер опубликования: 6201202512080006
Дата опубликования: 08.12.2025
Страница №8 из 16:
Увеличить