Официальное опубликование правовых актов
ОФИЦИАЛЬНОЕ ОПУБЛИКОВАНИЕ
Постановление Главного управления архитектуры и градостроительства Рязанской области от 02.12.2025 № 1035-п
"О внесении изменения в правила землепользования и застройки муниципального образования – Сараевское городское поселение Сараевского муниципального района Рязанской области"
(Зарегистрирован 03.12.2025 № 1490)
Номер опубликования: 6201202512080002
Дата опубликования: 08.12.2025
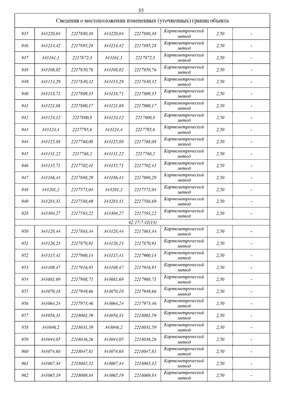
Страница №37 из 75:
Увеличить