Официальное опубликование правовых актов
ОФИЦИАЛЬНОЕ ОПУБЛИКОВАНИЕ
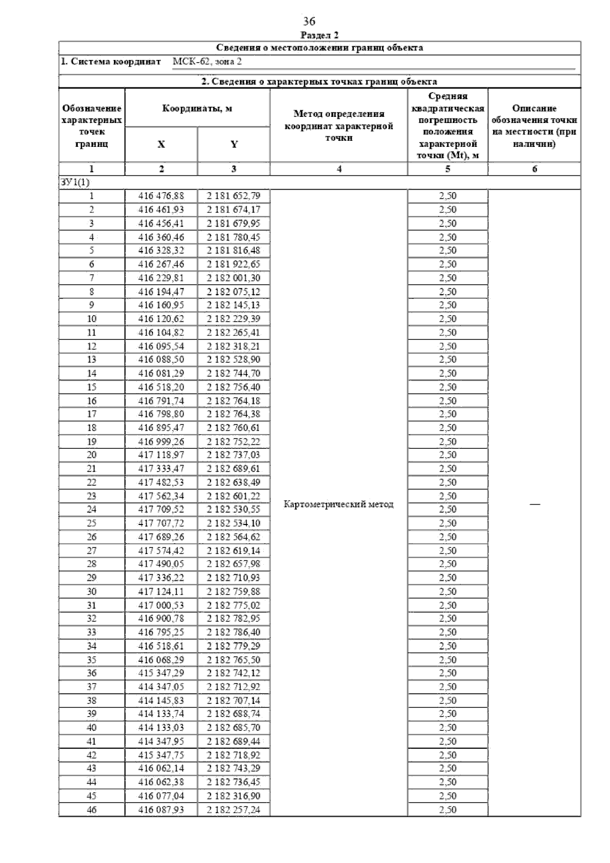
Постановление Главного управления архитектуры и градостроительства Рязанской области от 28.11.2025 № 1031-п
"О внесении изменений в правила землепользования и застройки муниципального образования - Исадское сельское поселение Спасского муниципального района Рязанской области"
(Зарегистрирован 02.12.2025 № 1480)
Номер опубликования: 6201202512050006
Дата опубликования: 05.12.2025
Страница №43 из 45:
Увеличить