Постановление Главного управления архитектуры и градостроительства Рязанской области от 25.11.2025 № 1024-п
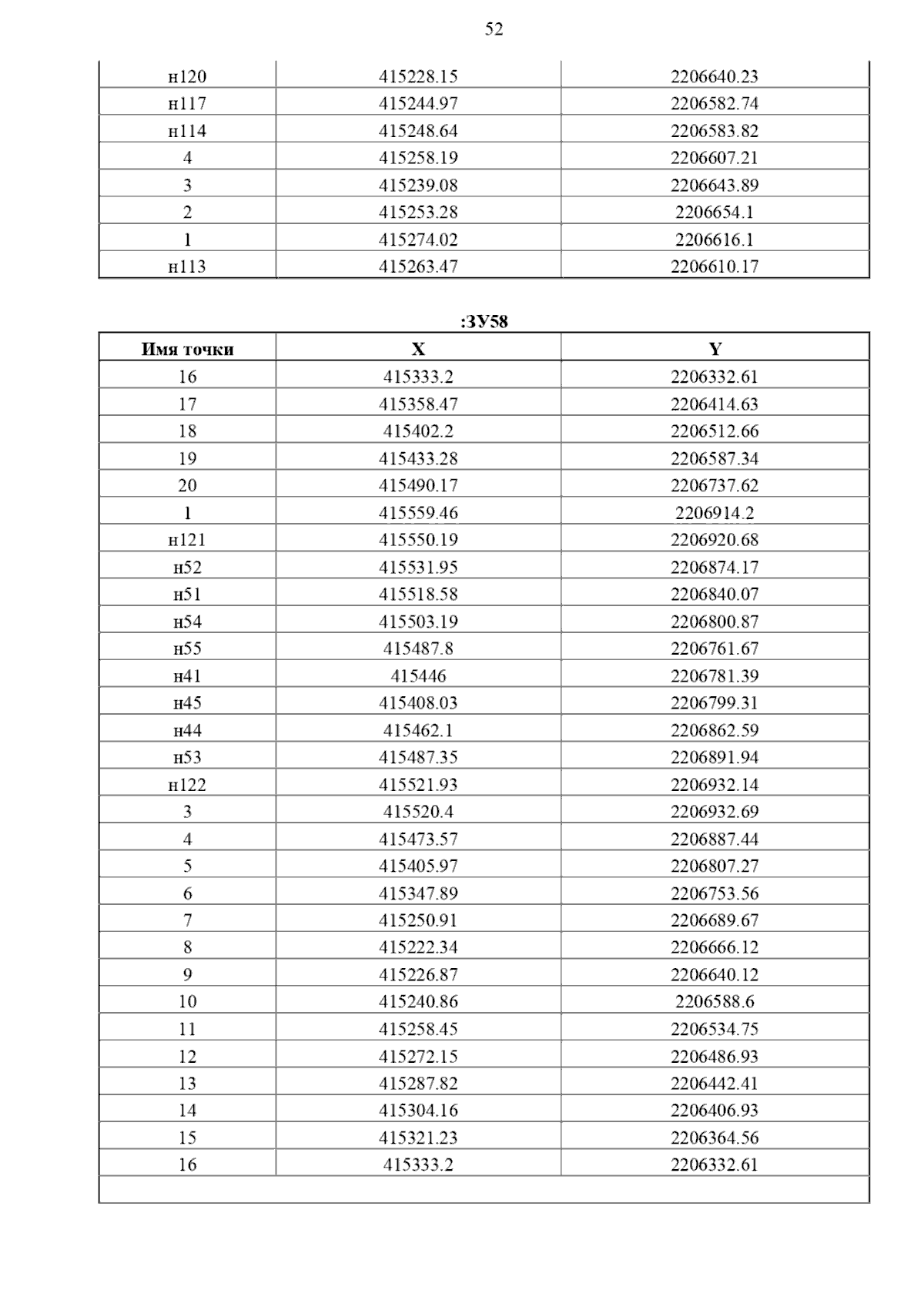
"Об утверждении документации по планировке территории (проекта планировки территории и проекта межевания территории), подлежащей комплексному развитию, по адресу: Рязанская обл., Шиловский р-н, с. Юшта, в отношении земельных участков с кадастровыми номерами: 62:25:0040301:172, 62:25:0040301:173, 62:25:0040301:174, 62:25:0040301:175, 62:25:0040301:176, 62:25:0040301:177, 62:25:0040301:178, 62:25:0040301:1703, 62:25:0040301:1704"
(Зарегистрирован 27.11.2025 № 1466)
"Об утверждении документации по планировке территории (проекта планировки территории и проекта межевания территории), подлежащей комплексному развитию, по адресу: Рязанская обл., Шиловский р-н, с. Юшта, в отношении земельных участков с кадастровыми номерами: 62:25:0040301:172, 62:25:0040301:173, 62:25:0040301:174, 62:25:0040301:175, 62:25:0040301:176, 62:25:0040301:177, 62:25:0040301:178, 62:25:0040301:1703, 62:25:0040301:1704"
(Зарегистрирован 27.11.2025 № 1466)
Номер опубликования: 6201202512030006
Дата опубликования:
03.12.2025
