Официальное опубликование правовых актов
ОФИЦИАЛЬНОЕ ОПУБЛИКОВАНИЕ
Постановление Главного управления архитектуры и градостроительства Рязанской области от 19.11.2025 № 995-п
"О внесении изменений в правила землепользования и застройки муниципального образования – Рыбновское городское поселение Рыбновского муниципального района Рязанской области"
(Зарегистрирован 20.11.2025 № 1416)
Номер опубликования: 6201202511250005
Дата опубликования: 25.11.2025
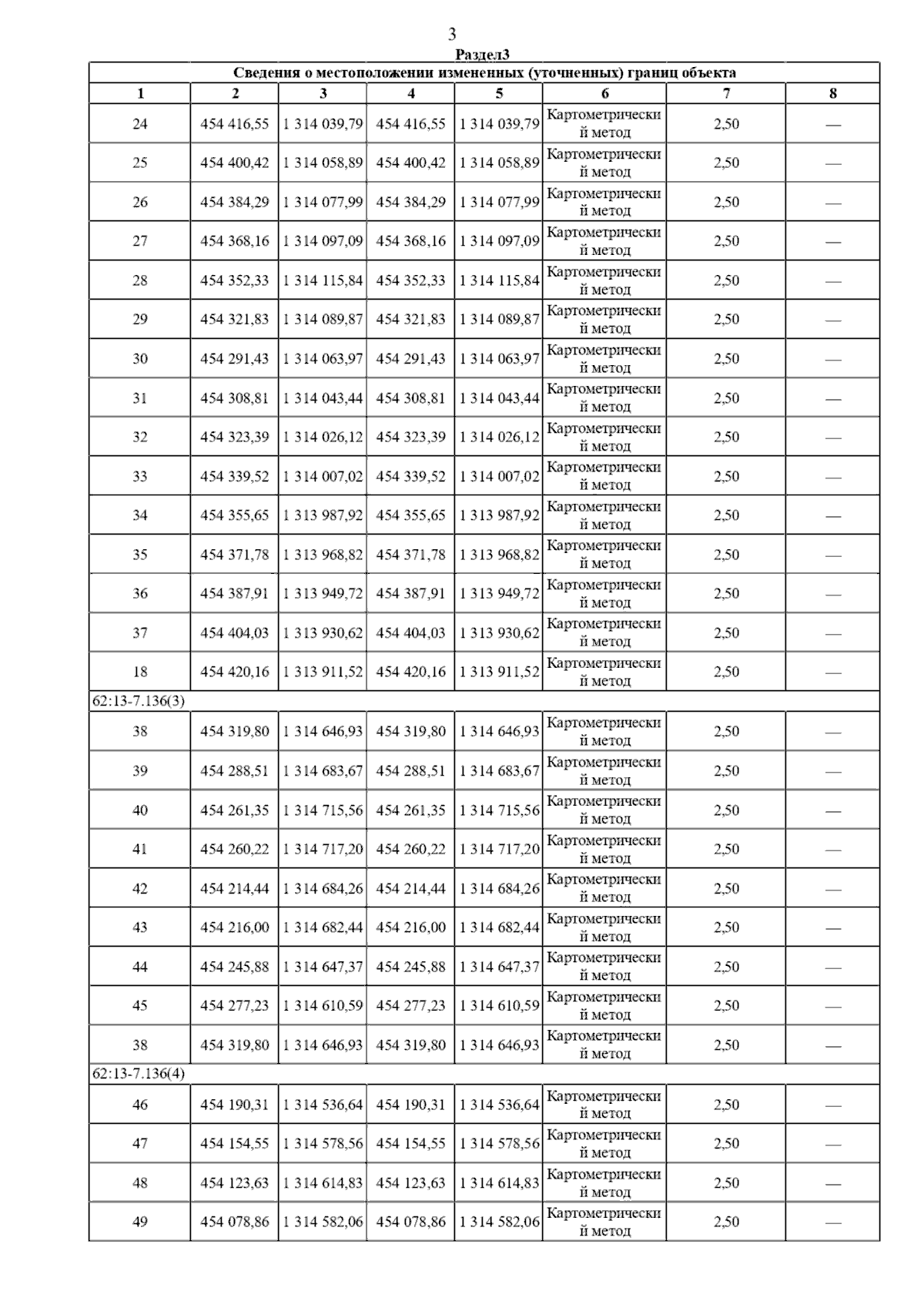
Страница №5 из 561:
Увеличить