Официальное опубликование правовых актов
ОФИЦИАЛЬНОЕ ОПУБЛИКОВАНИЕ
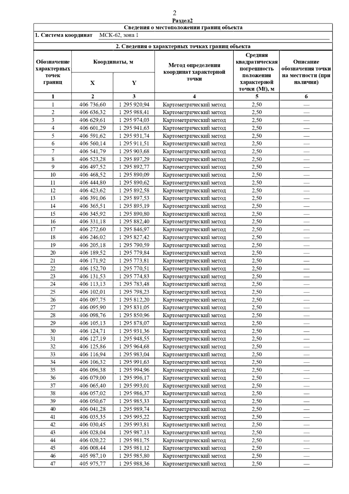
Постановление Главного управления архитектуры и градостроительства Рязанской области от 31.10.2025 № 958-п
"О внесении изменения в генеральный план муниципального образования – Михайловский муниципальный округ Рязанской области применительно к территориям Поярковского, Рачатниковского и Красновского сельских округов Михайловского района Рязанской области"
(Зарегистрирован 05.11.2025 № 1355)
Номер опубликования: 6201202511070003
Дата опубликования: 07.11.2025
Страница №4 из 8:
Увеличить