Официальное опубликование правовых актов
ОФИЦИАЛЬНОЕ ОПУБЛИКОВАНИЕ
Постановление Главного управления архитектуры и градостроительства Рязанской области от 31.10.2025 № 957-п
"О внесении изменения в правила землепользования и застройки муниципального образования - Касимовский муниципальный округ Рязанской области применительно к территории Первинского сельского округа Касимовского района Рязанской области"
(Зарегистрирован 31.10.2025 № 1354)
Номер опубликования: 6201202511060006
Дата опубликования: 06.11.2025
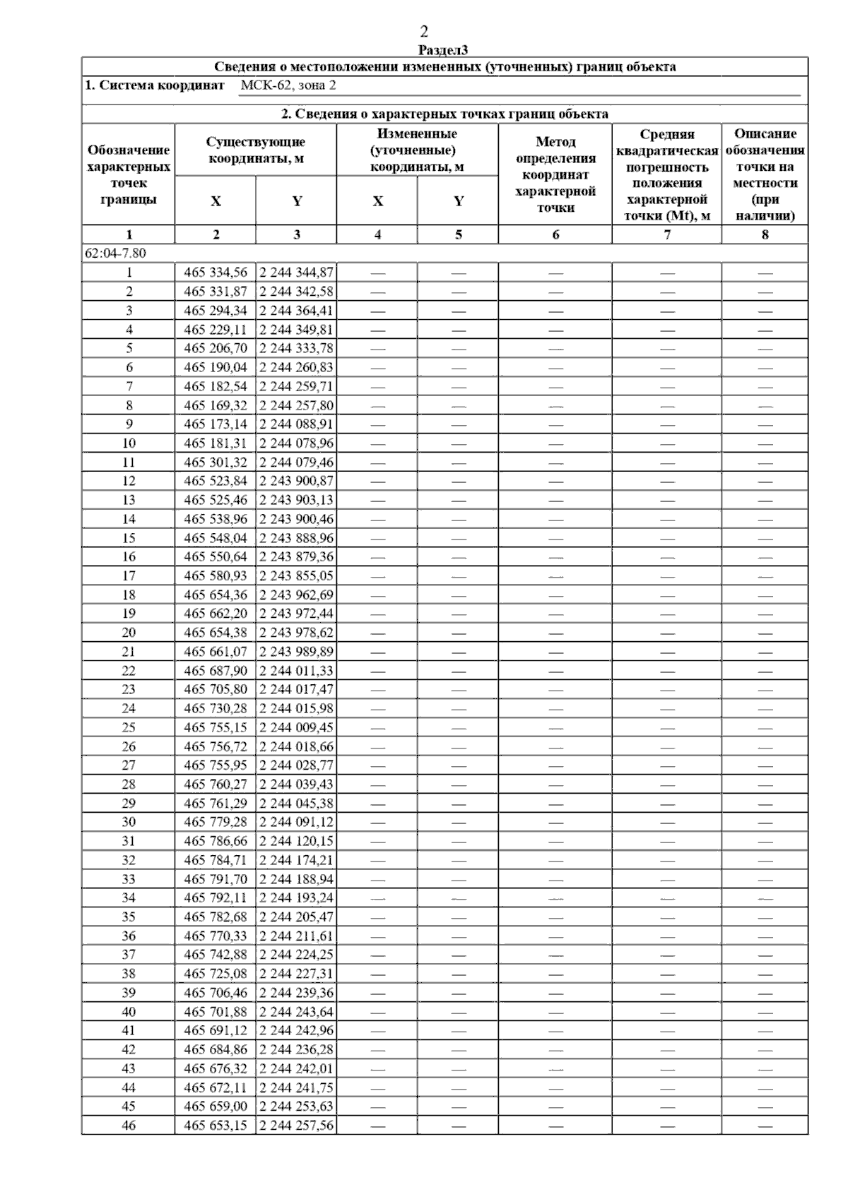
Страница №4 из 7:
Увеличить