Официальное опубликование правовых актов
ОФИЦИАЛЬНОЕ ОПУБЛИКОВАНИЕ
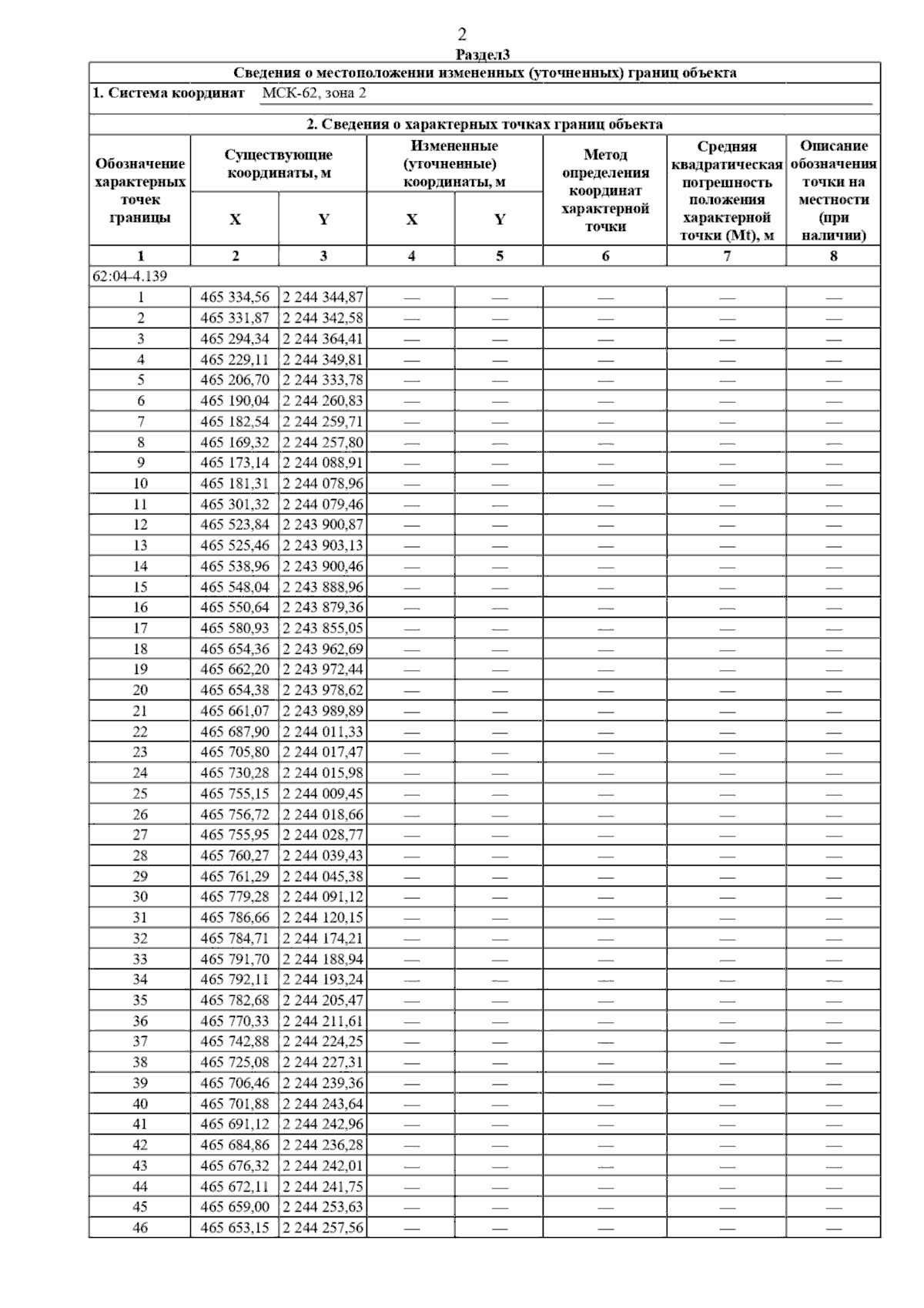
Постановление Главного управления архитектуры и градостроительства Рязанской области от 31.10.2025 № 956-п
"О внесении изменения в генеральный план муниципального образования – Касимовский муниципальный округ Рязанской области применительно к территории Первинского сельского округа Касимовского района Рязанской области"
(Зарегистрирован 05.11.2025 № 1353)
Номер опубликования: 6201202511060005
Дата опубликования: 06.11.2025
Страница №4 из 7:
Увеличить