Официальное опубликование правовых актов
ОФИЦИАЛЬНОЕ ОПУБЛИКОВАНИЕ
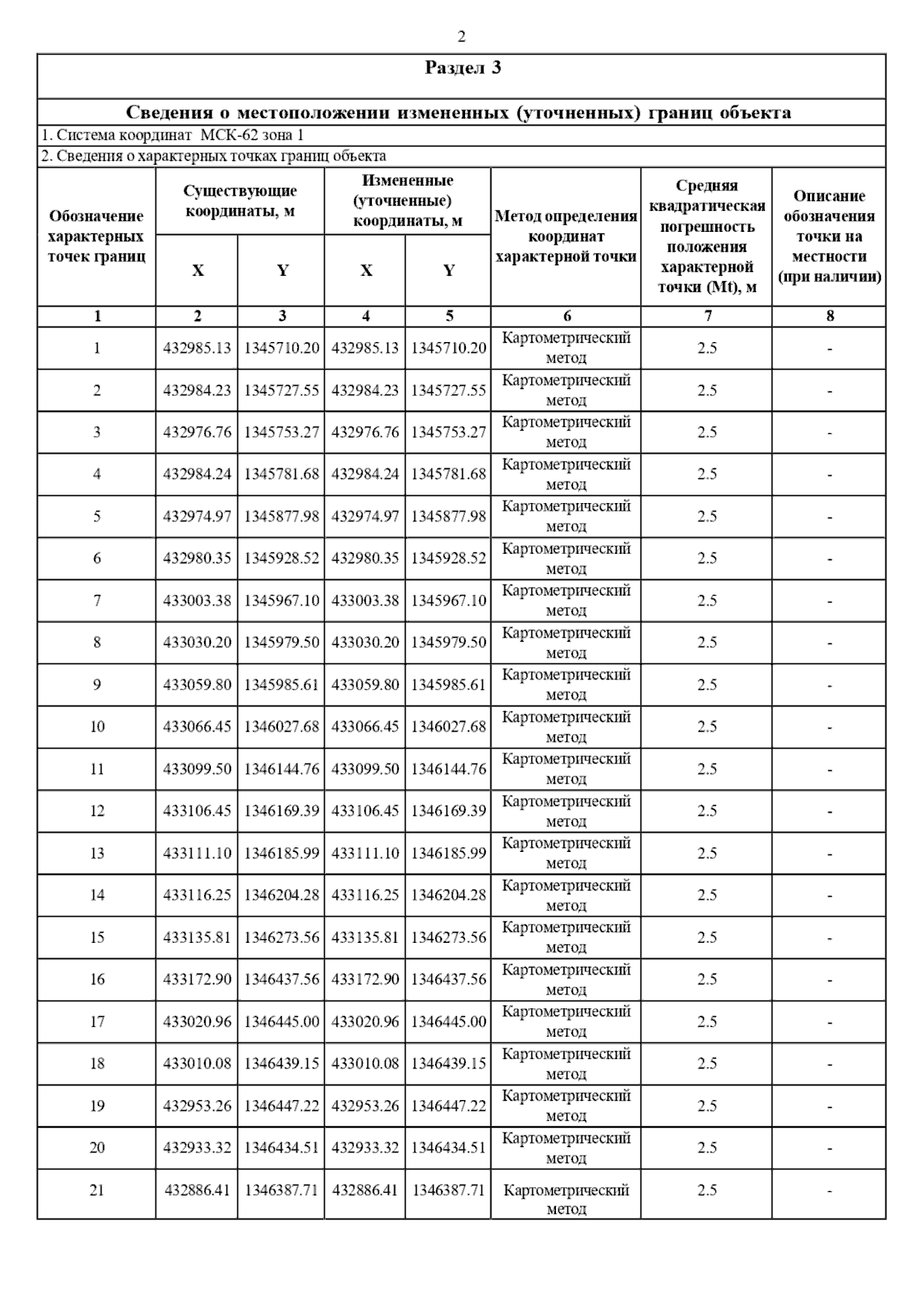
Постановление Главного управления архитектуры и градостроительства Рязанской области от 28.10.2025 № 935-п
"О внесении изменений в генеральный план муниципального образования – Вышгородское сельское поселение Рязанского муниципального района Рязанской области"
(Зарегистрирован 28.10.2025 № 1329)
Номер опубликования: 6201202510310011
Дата опубликования: 31.10.2025
Страница №7 из 11:
Увеличить