Официальное опубликование правовых актов
ОФИЦИАЛЬНОЕ ОПУБЛИКОВАНИЕ
Постановление Главного управления архитектуры и градостроительства Рязанской области от 23.10.2025 № 925-п
"Об утверждении правил землепользования и застройки муниципального образования – Касимовский муниципальный округ Рязанской области применительно к территориям Которовского и Новодеревенского сельских округов Касимовского района Рязанской области"
(Зарегистрирован 24.10.2025 № 1312)
Номер опубликования: 6201202510280008
Дата опубликования: 28.10.2025
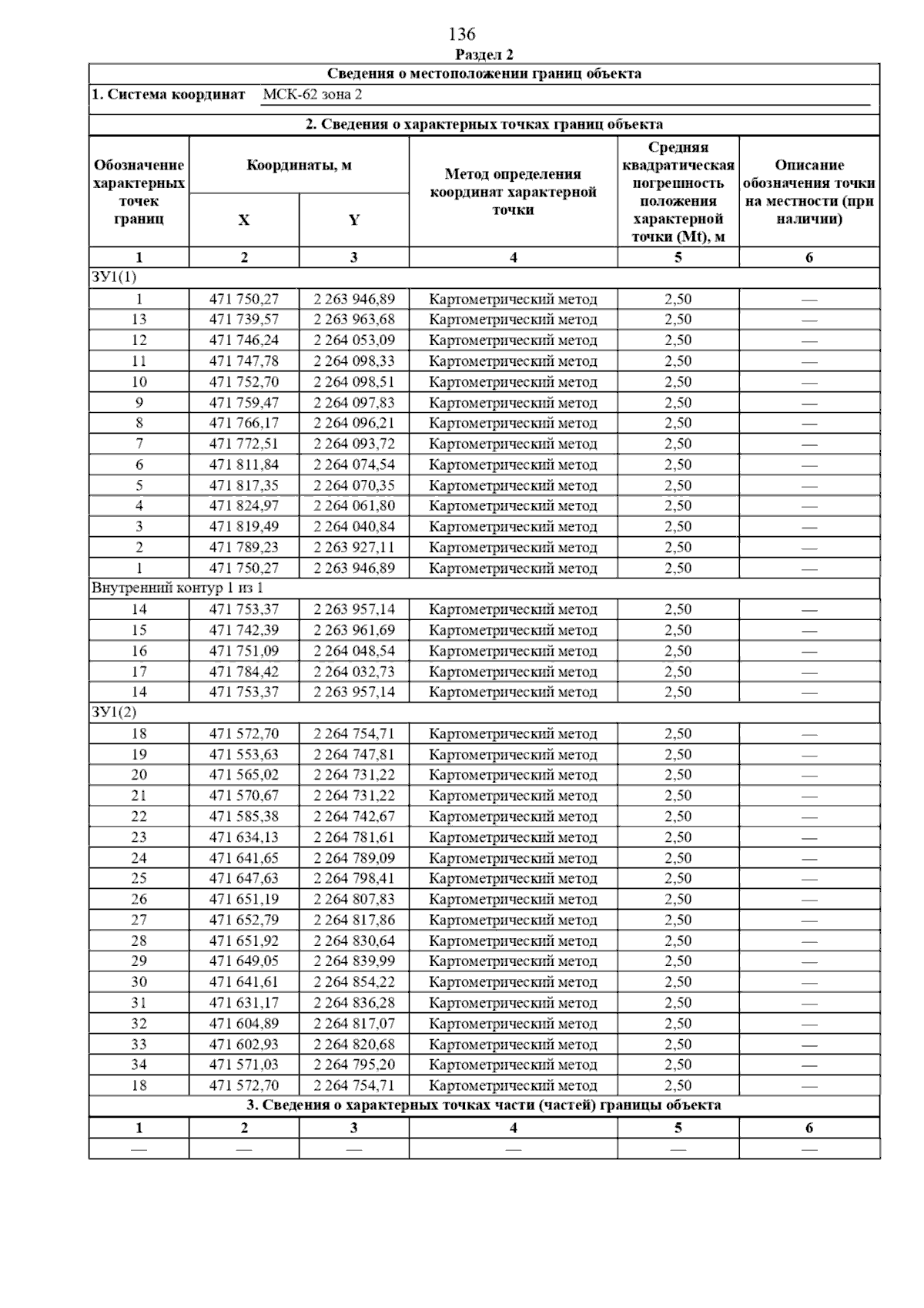
Страница №177 из 193:
Увеличить