Официальное опубликование правовых актов
ОФИЦИАЛЬНОЕ ОПУБЛИКОВАНИЕ
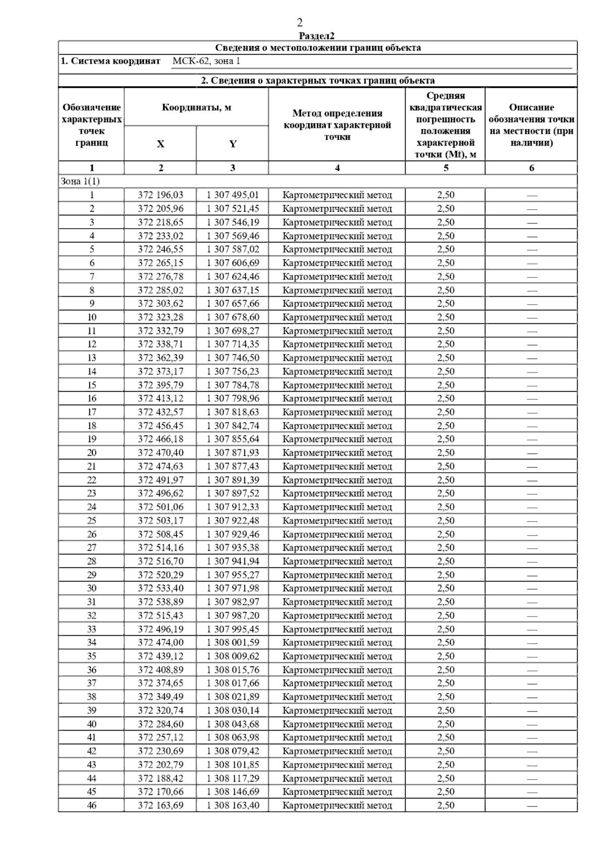
Постановление Главного управления архитектуры и градостроительства Рязанской области от 16.10.2025 № 903-п
"О внесении изменений в правила землепользования и застройки муниципального образования - Ильинское сельское поселение Скопинского муниципального района Рязанской области"
(Зарегистрирован 17.10.2025 № 1284)
Номер опубликования: 6201202510220002
Дата опубликования: 22.10.2025
Страница №4 из 76:
Увеличить