Официальное опубликование правовых актов
ОФИЦИАЛЬНОЕ ОПУБЛИКОВАНИЕ
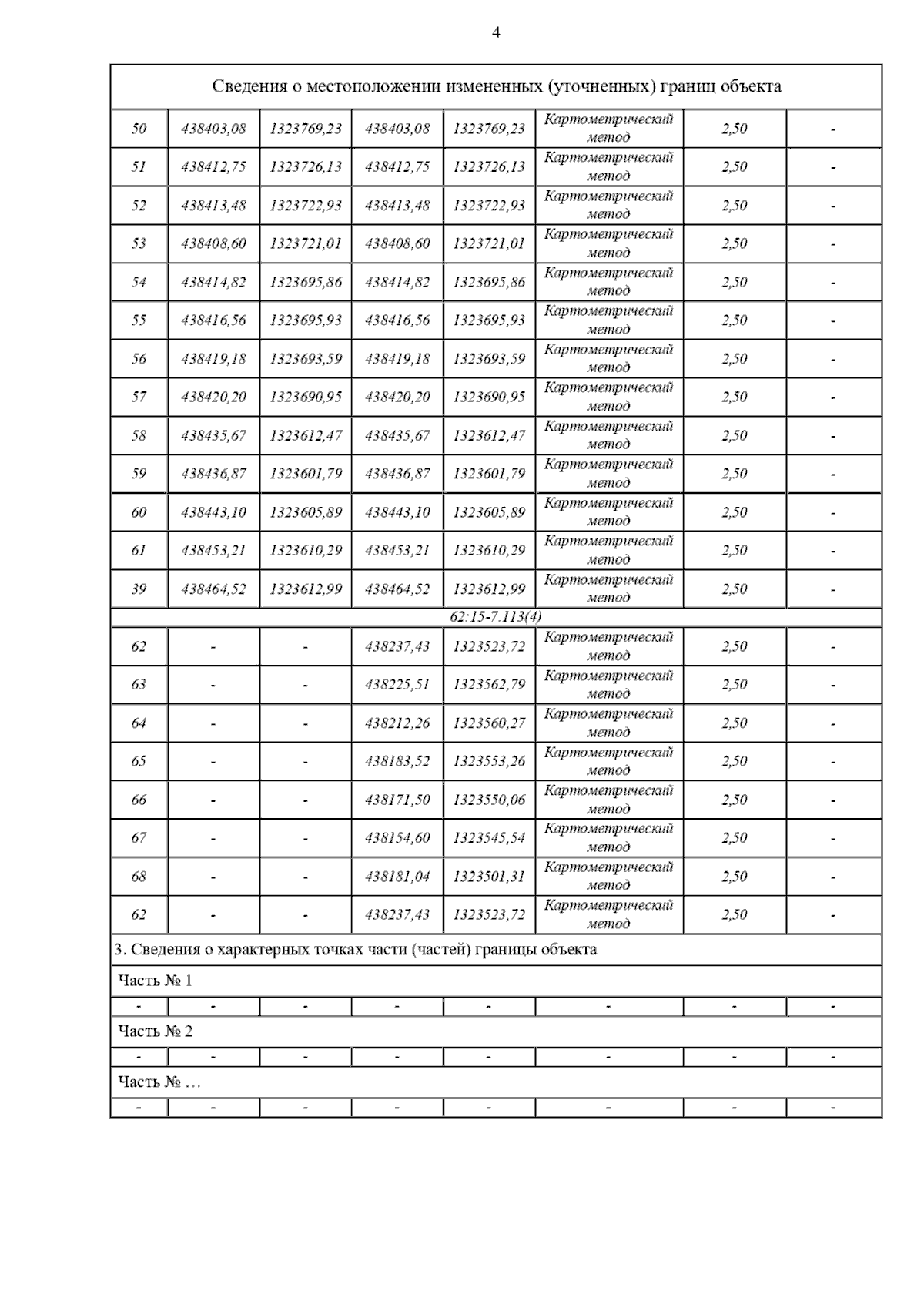
Постановление Главного управления архитектуры и градостроительства Рязанской области от 08.07.2025 № 544-п
"О внесении изменений в правила землепользования и застройки муниципального образования – Семеновское сельское поселение Рязанского муниципального района Рязанской области"
(Зарегистрирован 09.07.2025 № 825)
Номер опубликования: 6201202507110004
Дата опубликования: 11.07.2025
Страница №8 из 8:
Увеличить