Официальное опубликование правовых актов
ОФИЦИАЛЬНОЕ ОПУБЛИКОВАНИЕ
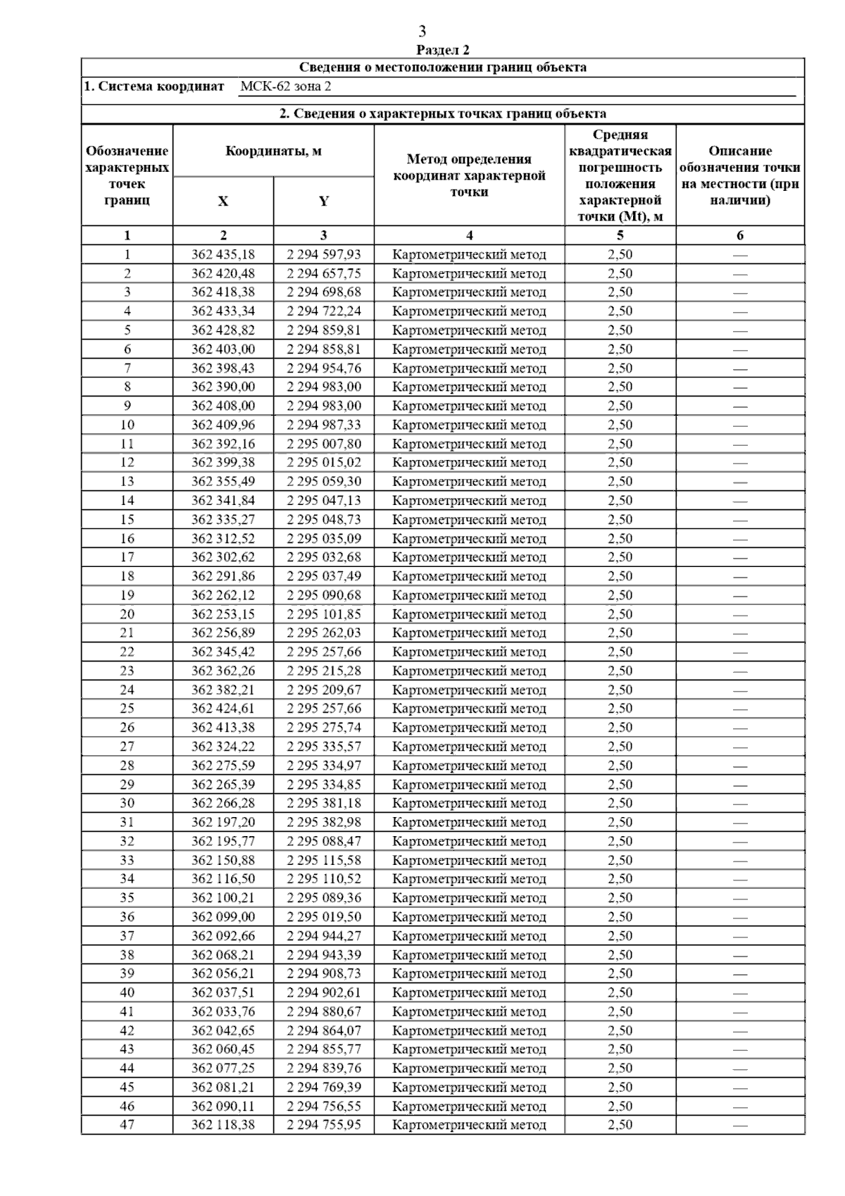
Постановление Главного управления архитектуры и градостроительства Рязанской области от 22.05.2025 № 400-п
"Об утверждении правил землепользования и застройки муниципального образования – Кермисинское сельское поселение Шацкого муниципального района Рязанской области"
(Зарегистрирован 23.05.2025 № 613)
Номер опубликования: 6201202505270013
Дата опубликования: 27.05.2025
Страница №28 из 67:
Увеличить