Официальное опубликование правовых актов
ОФИЦИАЛЬНОЕ ОПУБЛИКОВАНИЕ
Постановление Главного управления архитектуры и градостроительства Рязанской области от 22.05.2025 № 399-п
"Об утверждении генерального плана муниципального образования – Кермисинское сельское поселение Шацкого муниципального района Рязанской области"
(Зарегистрирован 23.05.2025 № 612)
Номер опубликования: 6201202505270003
Дата опубликования: 27.05.2025
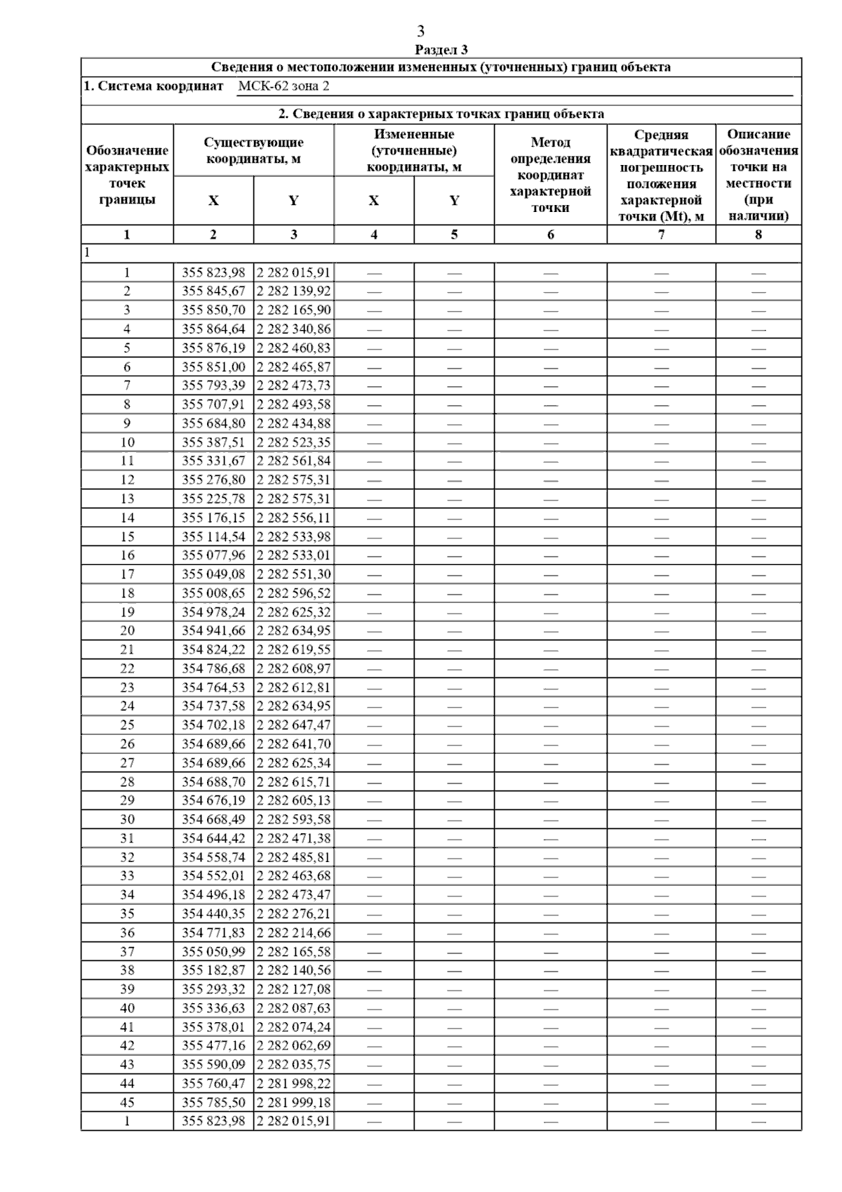
Страница №12 из 80:
Увеличить