Официальное опубликование правовых актов
ОФИЦИАЛЬНОЕ ОПУБЛИКОВАНИЕ
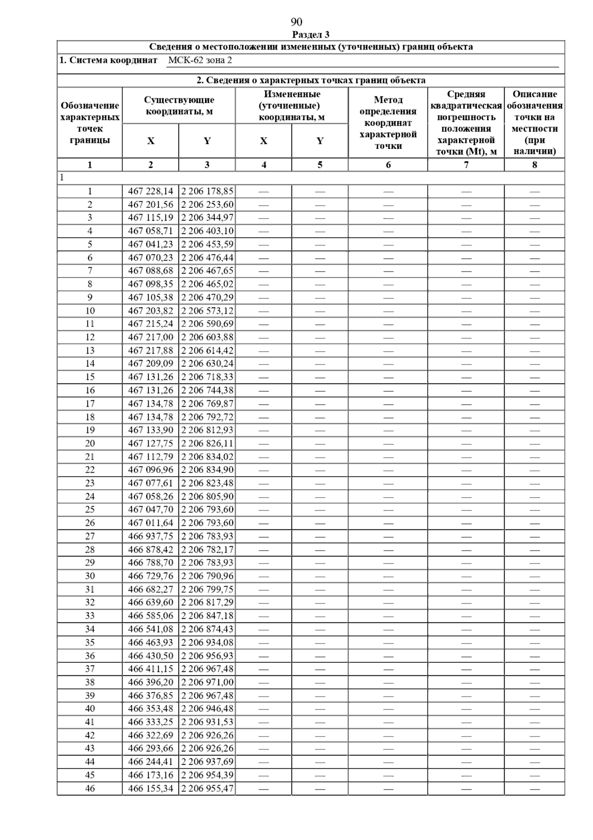
Постановление Главного управления архитектуры и градостроительства Рязанской области от 20.05.2025 № 383-п
"Об утверждении правил землепользования и застройки муниципального образования – Касимовский муниципальный округ Рязанской области применительно к территориям Китовского и Ибердусского сельских округов Касимовского района Рязанской области"
(Зарегистрирован 21.05.2025 № 593)
Номер опубликования: 6201202505230003
Дата опубликования: 23.05.2025
Страница №123 из 172:
Увеличить