Официальное опубликование правовых актов
ОФИЦИАЛЬНОЕ ОПУБЛИКОВАНИЕ
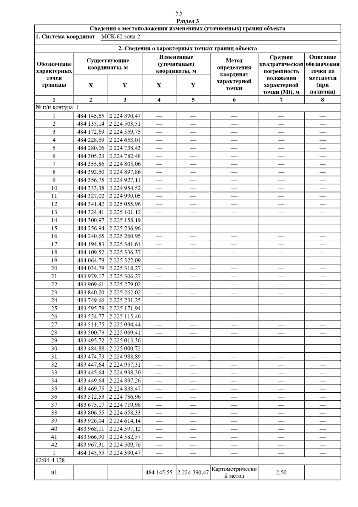
Постановление Главного управления архитектуры и градостроительства Рязанской области от 20.05.2025 № 384-п
"Об утверждении генерального плана муниципального образования – Касимовский муниципальный округ Рязанской области применительно к территориям Погостинского и Гиблицкого сельских округов Касимовского района Рязанской области"
(Зарегистрирован 21.05.2025 № 594)
Номер опубликования: 6201202505230002
Дата опубликования: 23.05.2025
Страница №68 из 103:
Увеличить