Официальное опубликование правовых актов
ОФИЦИАЛЬНОЕ ОПУБЛИКОВАНИЕ
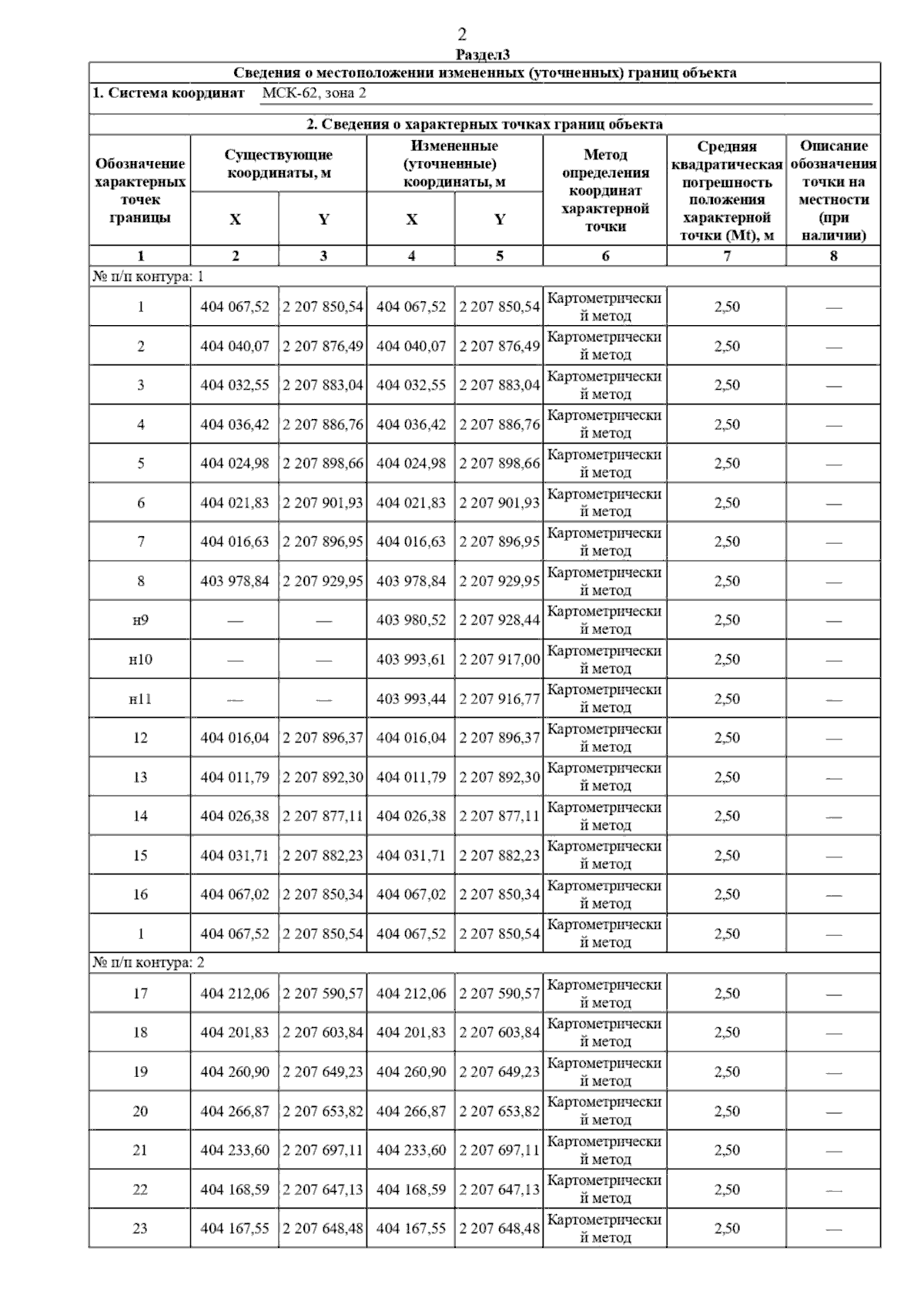
Постановление Главного управления архитектуры и градостроительства Рязанской области от 12.05.2025 № 338-п
"О внесении изменений в правила землепользования и застройки муниципального образования - Ибредское сельское поселение Шиловского муниципального района Рязанской области"
(Зарегистрирован 13.05.2025 № 539)
Номер опубликования: 6201202505150006
Дата опубликования: 15.05.2025
Страница №38 из 44:
Увеличить