Официальное опубликование правовых актов
ОФИЦИАЛЬНОЕ ОПУБЛИКОВАНИЕ
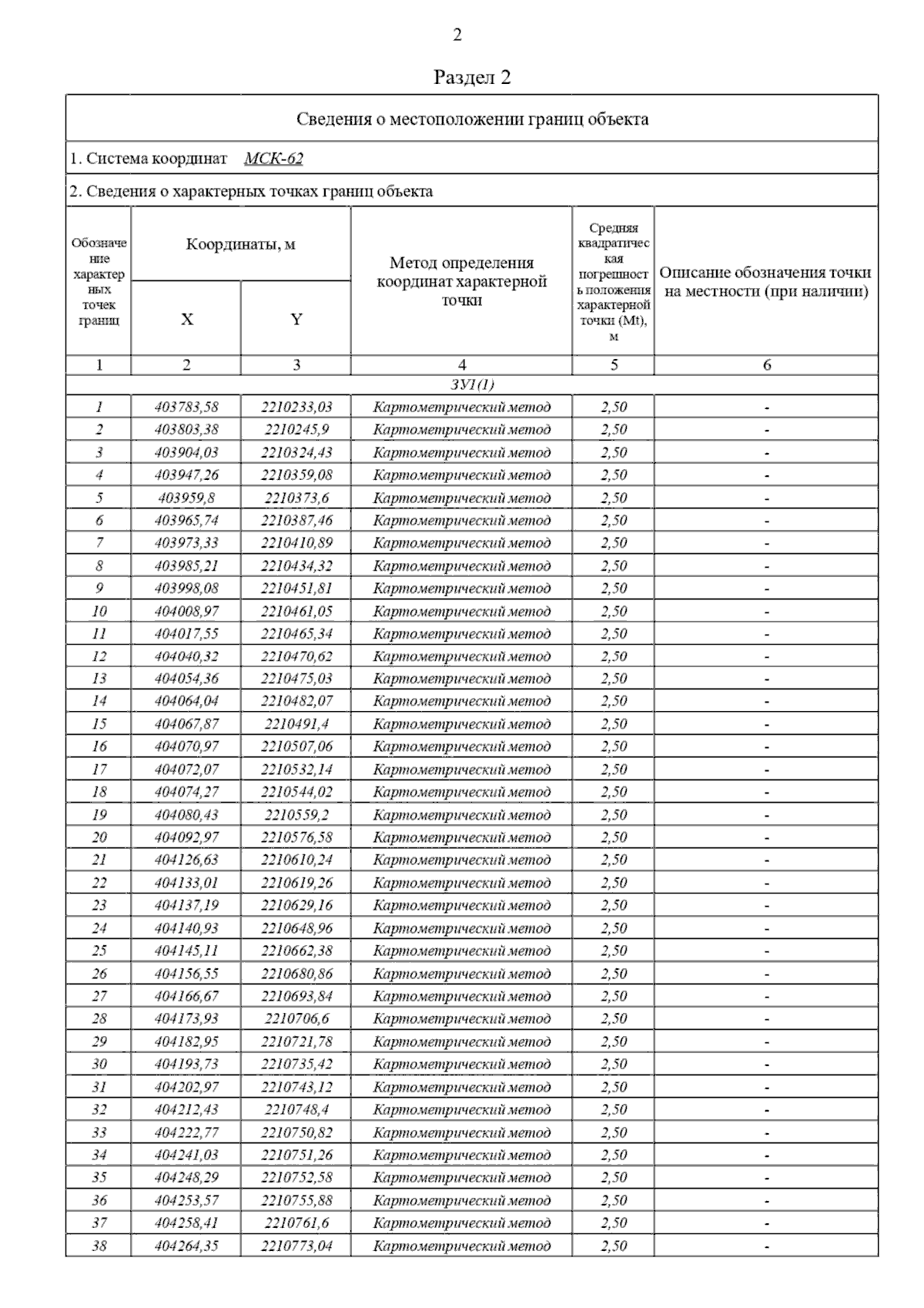
Постановление Главного управления архитектуры и градостроительства Рязанской области от 25.04.2025 № 304-п
"Об утверждении изменений в правила землепользования и застройки муниципального образования - Желудевское сельское поселение Шиловского муниципального района Рязанской области"
(Зарегистрирован 28.04.2025 № 493)
Номер опубликования: 6201202504300004
Дата опубликования: 30.04.2025
Страница №4 из 82:
Увеличить