Официальное опубликование правовых актов
ОФИЦИАЛЬНОЕ ОПУБЛИКОВАНИЕ
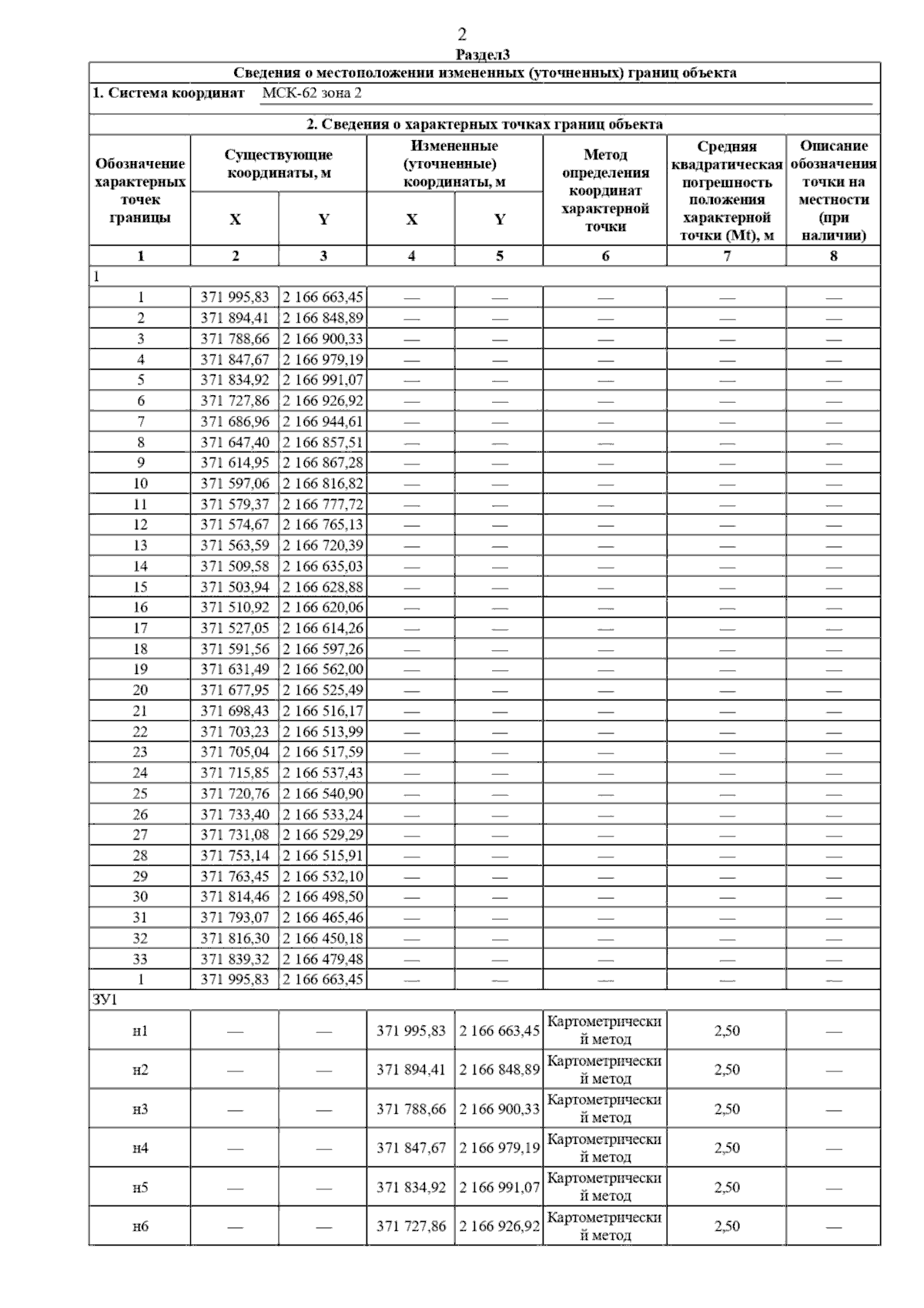
Постановление Главного управления архитектуры и градостроительства Рязанской области от 14.03.2025 № 178-п
"Об утверждении изменений в правила землепользования и застройки муниципального образования – Кораблинский муниципальный округ Рязанской области применительно к территории Ключанского сельского округа Кораблинского района Рязанской области"
(Зарегистрирован 17.03.2025 № 281)
Номер опубликования: 6201202503210002
Дата опубликования: 21.03.2025
Страница №15 из 17:
Увеличить