Официальное опубликование правовых актов
ОФИЦИАЛЬНОЕ ОПУБЛИКОВАНИЕ
Постановление Главного управления архитектуры и градостроительства Рязанской области от 10.02.2025 № 100-п
"Об утверждении изменений в правила землепользования и застройки муниципального образования - Нижнеякимецкое сельское поселение Александро-Невского муниципального района Рязанской области"
(Зарегистрирован 10.02.2025 № 156)
Номер опубликования: 6201202502140007
Дата опубликования: 14.02.2025
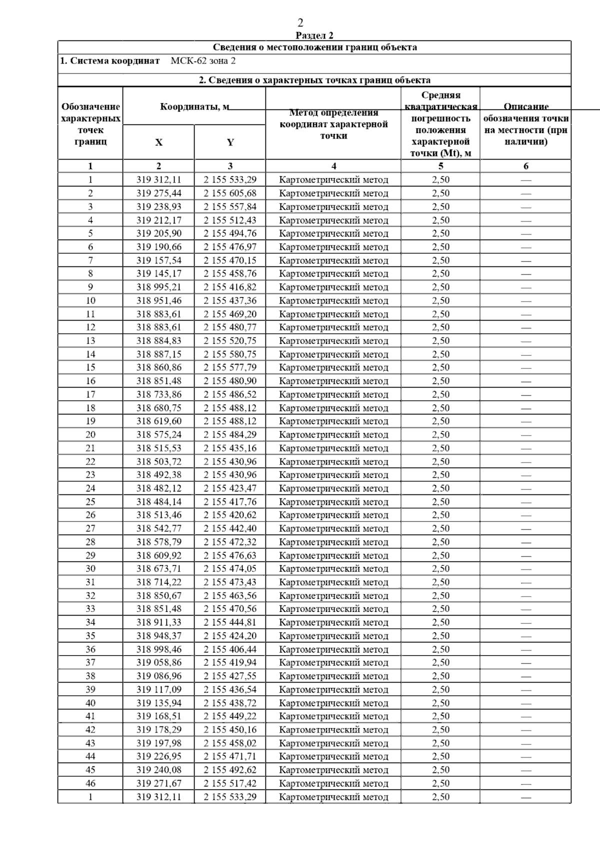
Страница №58 из 156:
Увеличить