Официальное опубликование правовых актов
ОФИЦИАЛЬНОЕ ОПУБЛИКОВАНИЕ
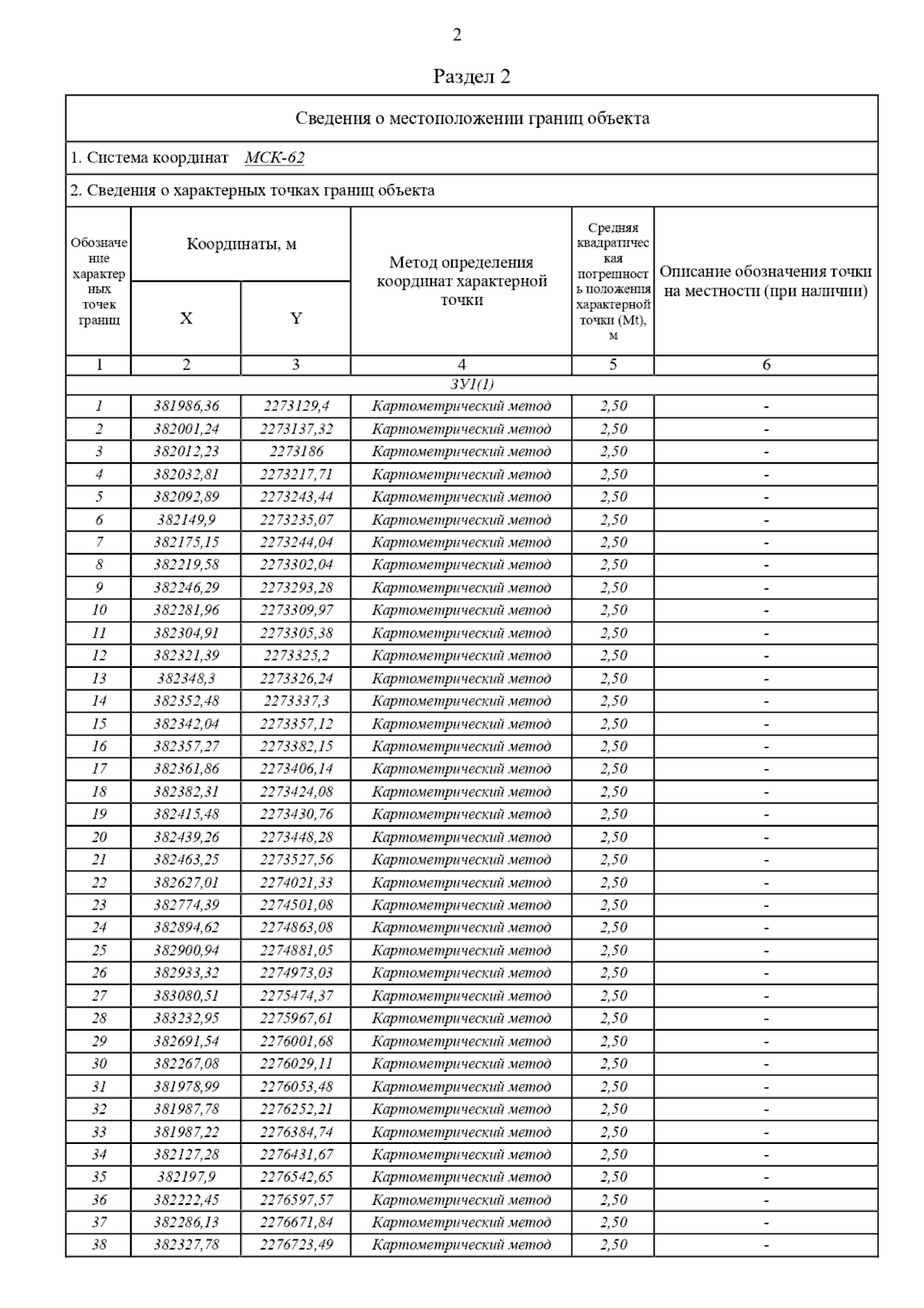
Постановление Главного управления архитектуры и градостроительства Рязанской области от 07.02.2025 № 97-п
"Об утверждении изменений в правила землепользования и застройки муниципального образования - Лесно-Конобеевское сельское поселение Шацкого муниципального района Рязанской области"
(Зарегистрирован 10.02.2025 № 153)
Номер опубликования: 6201202502110004
Дата опубликования: 11.02.2025
Страница №4 из 39:
Увеличить