Официальное опубликование правовых актов
ОФИЦИАЛЬНОЕ ОПУБЛИКОВАНИЕ
Постановление Главного управления архитектуры и градостроительства Рязанской области от 03.02.2025 № 93-п
"Об утверждении изменений в правила землепользования и застройки муниципального образования - городской округ город Скопин Рязанской области"
(Зарегистрирован 03.02.2025 № 142)
Номер опубликования: 6201202502070005
Дата опубликования: 07.02.2025
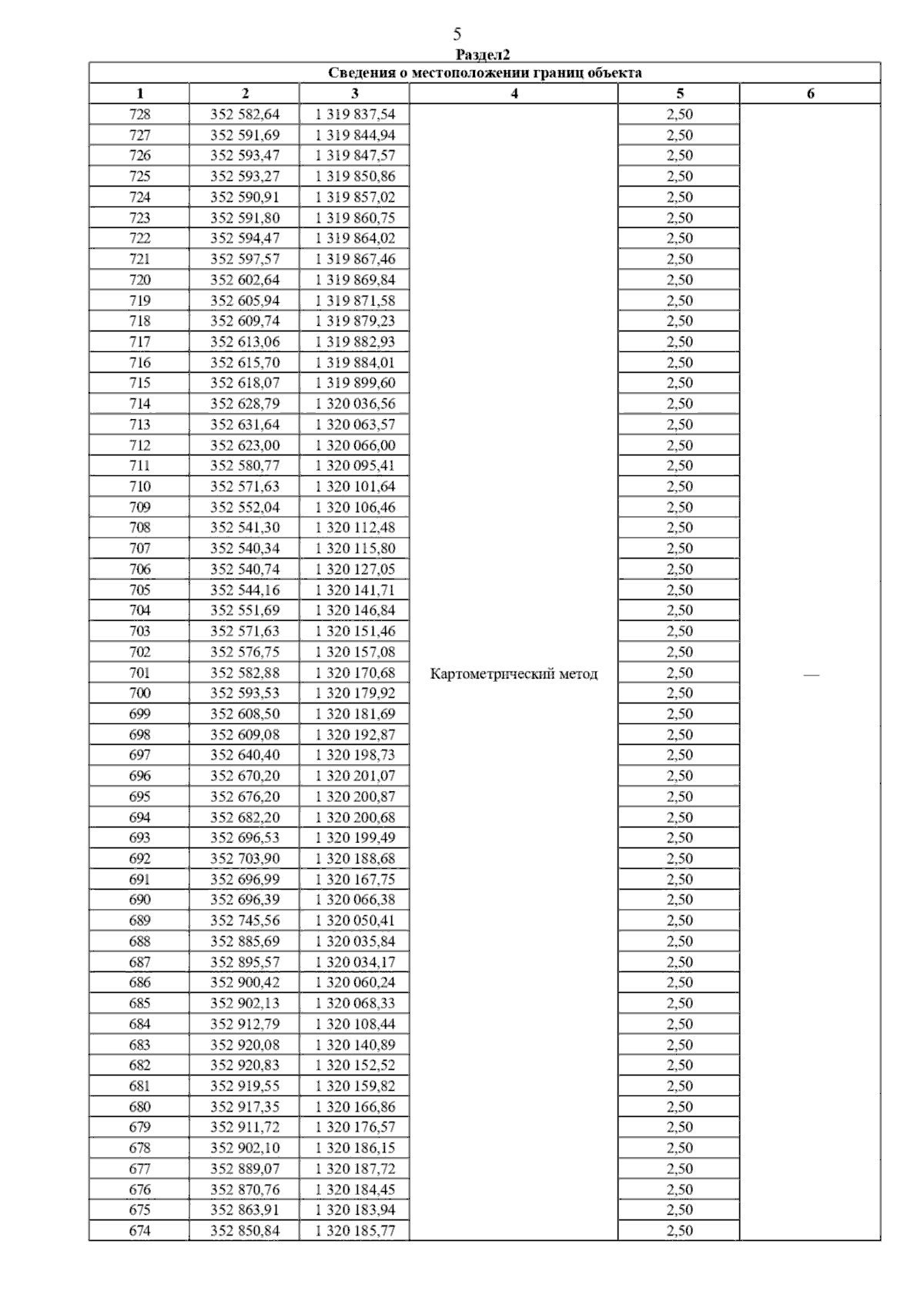
Страница №7 из 148:
Увеличить