Официальное опубликование правовых актов
ОФИЦИАЛЬНОЕ ОПУБЛИКОВАНИЕ
Постановление Главного управления архитектуры и градостроительства Рязанской области от 04.02.2025 № 94-п
"Об утверждении изменений в правила землепользования и застройки муниципального образования – Погореловское сельское поселение Пронского муниципального района Рязанской области"
(Зарегистрирован 05.02.2025 № 147)
Номер опубликования: 6201202502070002
Дата опубликования: 07.02.2025
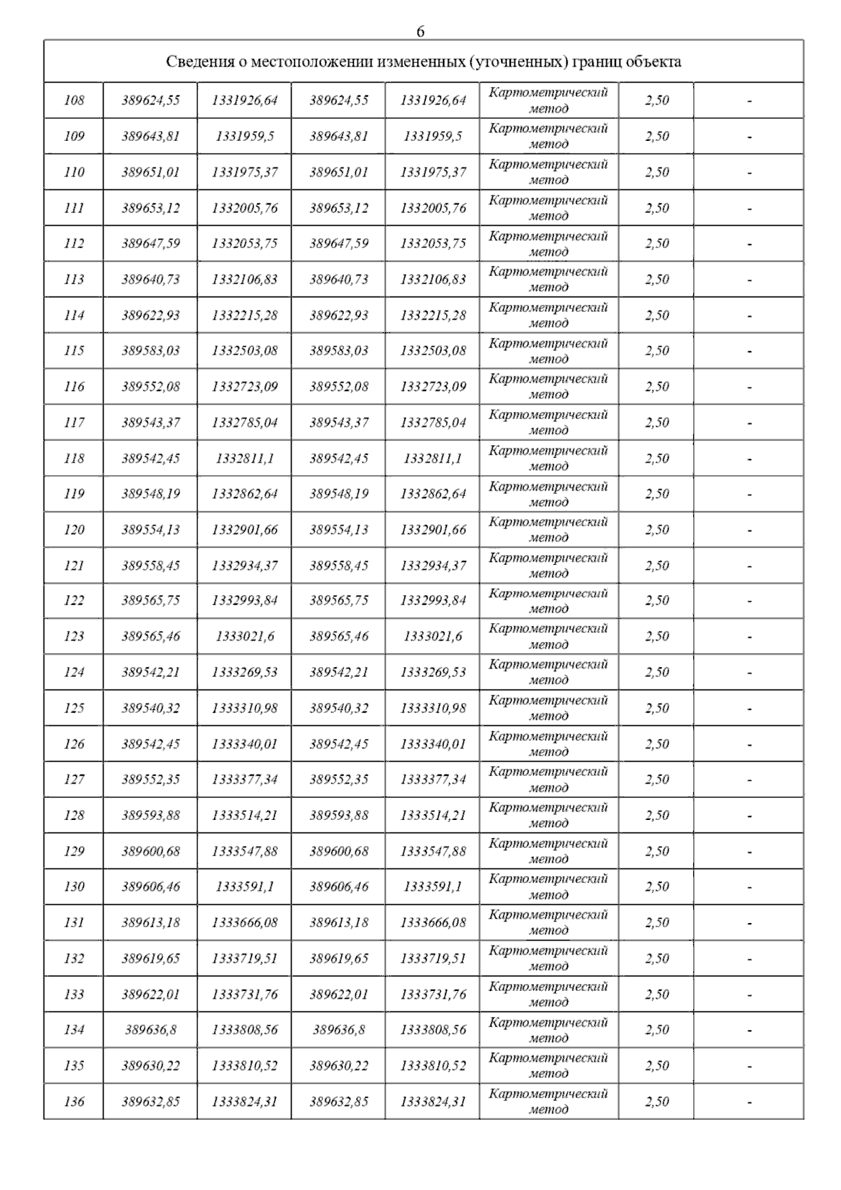
Страница №8 из 14:
Увеличить