Официальное опубликование правовых актов
ОФИЦИАЛЬНОЕ ОПУБЛИКОВАНИЕ
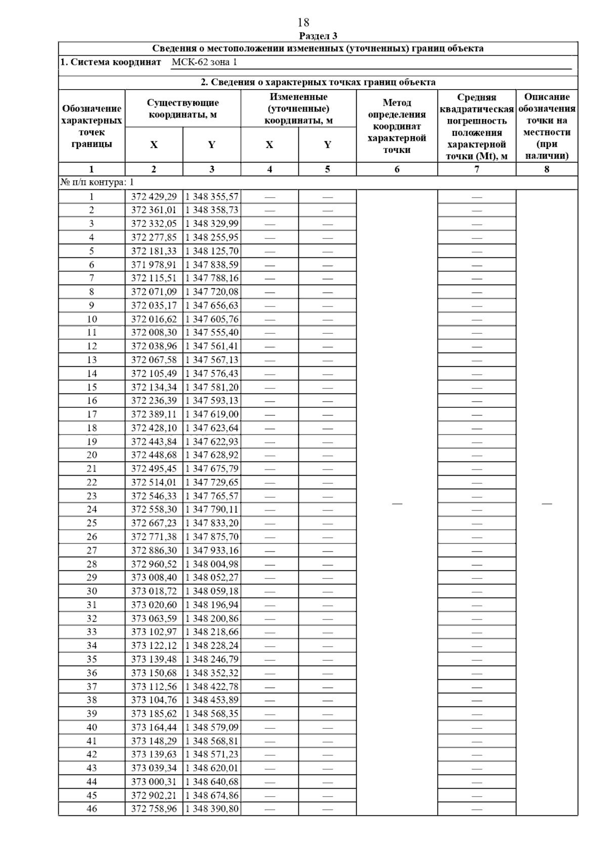
Постановление Главного управления архитектуры и градостроительства Рязанской области от 21.01.2025 № 46-п
"Об утверждении генерального плана муниципального образования – Кораблинский муниципальный округ Рязанской области применительно к территории Николаевского сельского округа Кораблинского района Рязанской области"
(Зарегистрирован 21.01.2025 № 69)
Номер опубликования: 6201202501240009
Дата опубликования: 24.01.2025
Страница №29 из 80:
Увеличить