Официальное опубликование правовых актов
ОФИЦИАЛЬНОЕ ОПУБЛИКОВАНИЕ
Постановление Главного управления архитектуры и градостроительства Рязанской области от 16.01.2025 № 32-п
"Об утверждении изменений в правила землепользования и застройки муниципального образования - Баграмовское сельское поселение Рыбновского муниципального района Рязанской области"
(Зарегистрирован 17.01.2025 № 48)
Номер опубликования: 6201202501200004
Дата опубликования: 20.01.2025
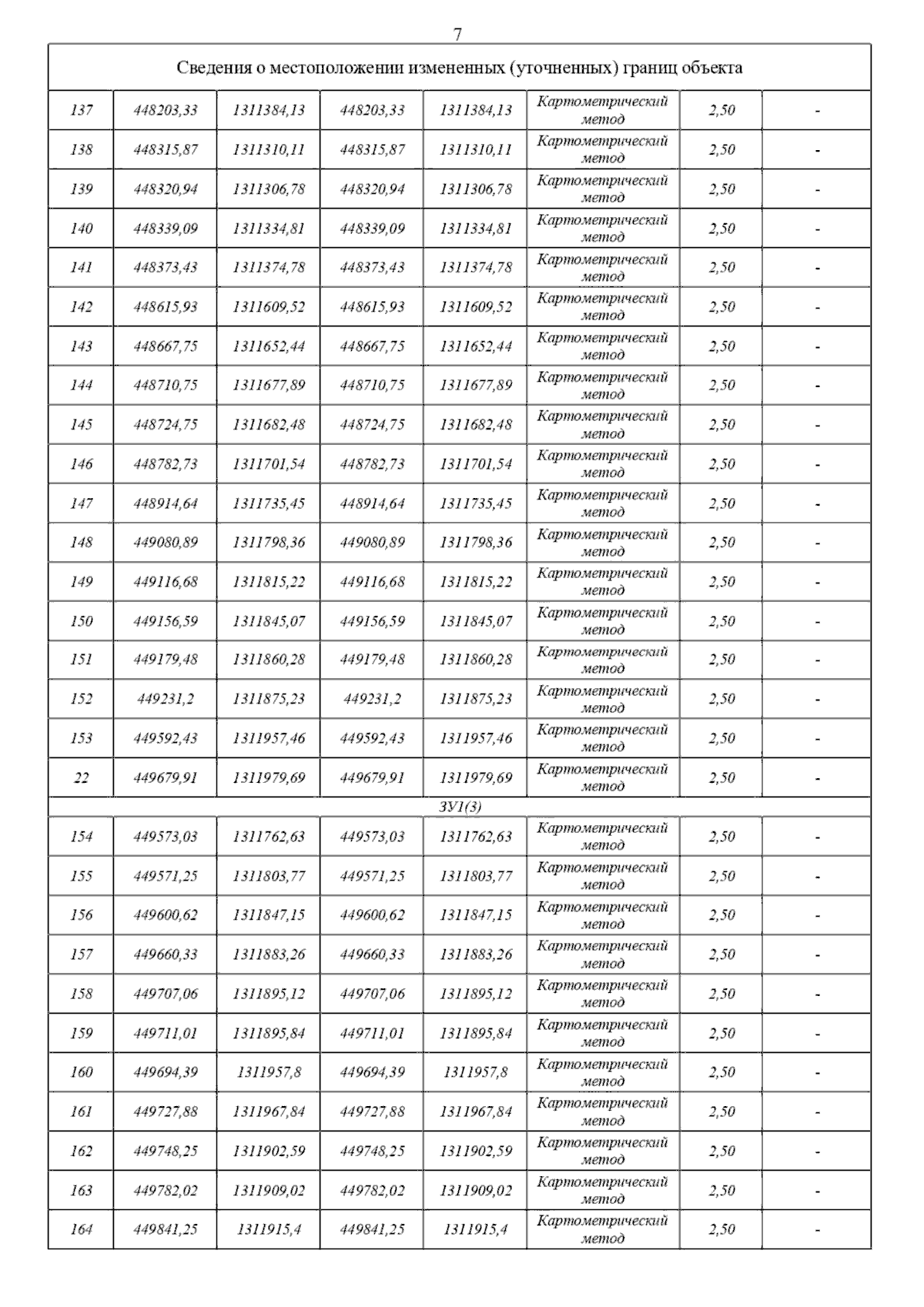
Страница №43 из 54:
Увеличить