Официальное опубликование правовых актов
ОФИЦИАЛЬНОЕ ОПУБЛИКОВАНИЕ
Постановление Главного управления архитектуры и градостроительства Рязанской области от 14.01.2025 № 19-п
"Об утверждении изменений в правила землепользования и застройки муниципального образования - Нестеровское сельское поселение Пителинского муниципального района Рязанской области"
(Зарегистрирован 15.01.2025 № 24)
Номер опубликования: 6201202501170013
Дата опубликования: 17.01.2025
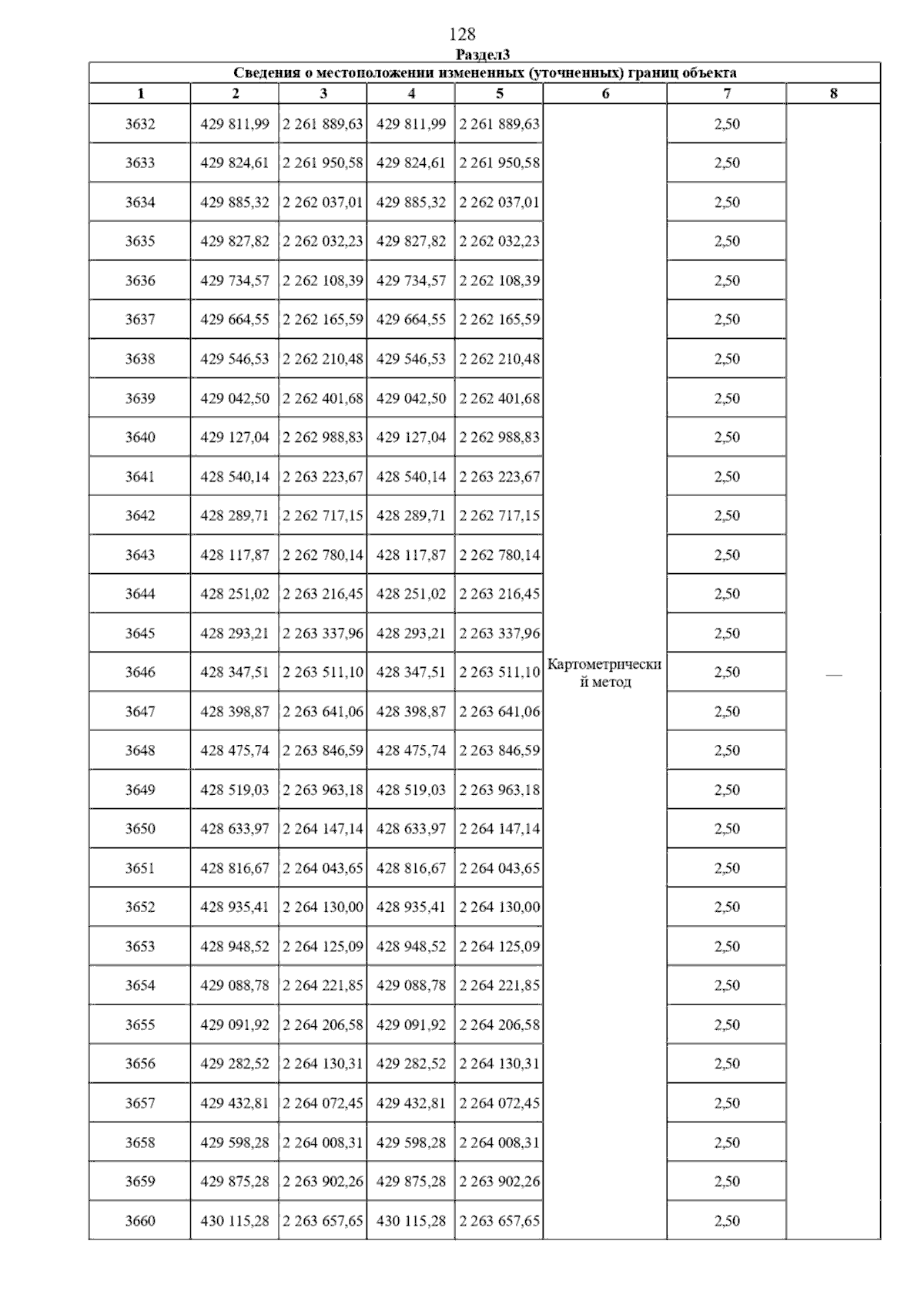
Страница №140 из 188:
Увеличить