Официальное опубликование правовых актов
ОФИЦИАЛЬНОЕ ОПУБЛИКОВАНИЕ
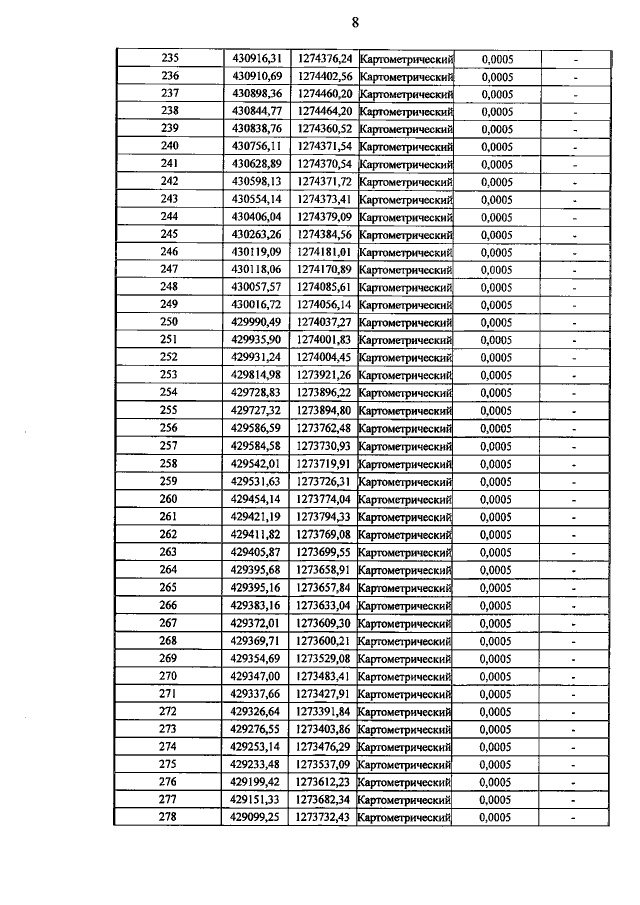
Постановление Министерства природопользования Рязанской области от 26.12.2019 № 32
"Об утверждении паспорта на памятник природы областного значения "Зеленчуковые широколиственные леса"
Номер опубликования: 6201201912270025
Дата опубликования: 27.12.2019
Страница №12 из 26:
Увеличить