Официальное опубликование правовых актов
ОФИЦИАЛЬНОЕ ОПУБЛИКОВАНИЕ
Постановление Главного управления архитектуры и градостроительства Рязанской области от 16.12.2019 № 439-п
"Об утверждении Генерального плана муниципального образования – Карабухинское сельское поселение Путятинского муниципального района Рязанской области"
Номер опубликования: 6201201912230040
Дата опубликования: 23.12.2019
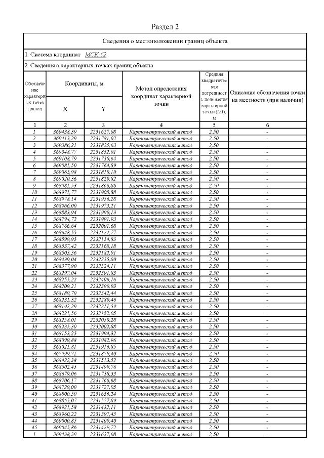
Страница №137 из 144:
Увеличить