Официальное опубликование правовых актов
ОФИЦИАЛЬНОЕ ОПУБЛИКОВАНИЕ
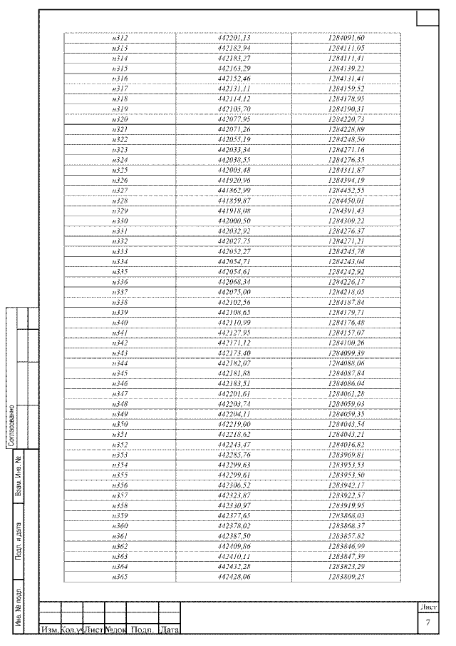
Постановление Главного управления архитектуры и градостроительства Рязанской области от 22.11.2019 № 372-п
"Об утверждении проекта планировки территории и проекта межевания территории линейного объекта "Газоснабжение д. Верейкино Рыбновского муниципального района Рязанской области"
Номер опубликования: 6201201911250039
Дата опубликования: 25.11.2019
Страница №31 из 49:
Увеличить