Официальное опубликование правовых актов
ОФИЦИАЛЬНОЕ ОПУБЛИКОВАНИЕ
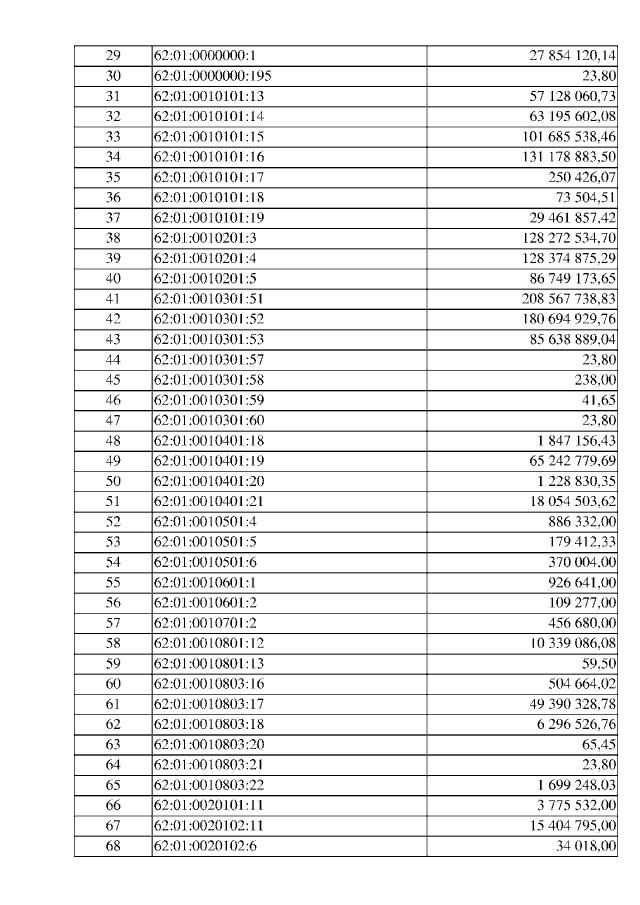
Постановление Министерства имущественных и земельных отношений Рязанской области от 04.10.2019 № 35-П
"Об утверждении результатов определения государственной кадастровой оценки земельных участков категории земель лесного фонда на территории Рязанской области"
Номер опубликования: 6201201910080001
Дата опубликования: 08.10.2019
Страница №3 из 77:
Увеличить