Официальное опубликование правовых актов
ОФИЦИАЛЬНОЕ ОПУБЛИКОВАНИЕ
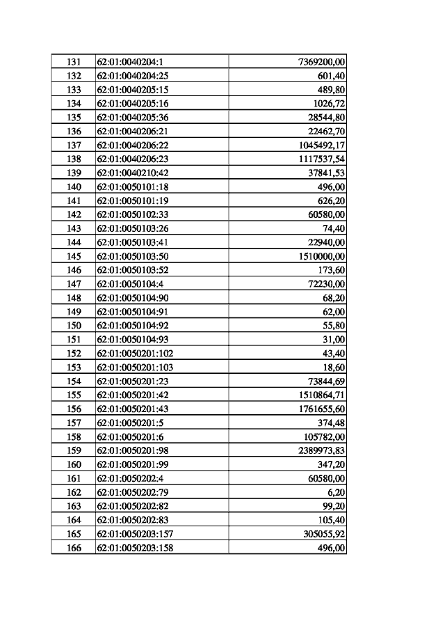
Постановление Министерства имущественных и земельных отношений Рязанской области от 30.09.2019 № 34-П
"Об утверждении результатов определения государственной кадастровой оценки земельных участков категории земель промышленности, энергетики, транспорта, связи, радиовещания, телевидения, информатики, земель для обеспечения космической деятельности, земель обороны, безопасности и земель иного специального назначения на территории Рязанской области"
Номер опубликования: 6201201910010007
Дата опубликования: 01.10.2019
Страница №7 из 233:
Увеличить