Официальное опубликование правовых актов
ОФИЦИАЛЬНОЕ ОПУБЛИКОВАНИЕ
Постановление Министерства труда и социальной защиты населения Рязанской области от 15.08.2019 № 33
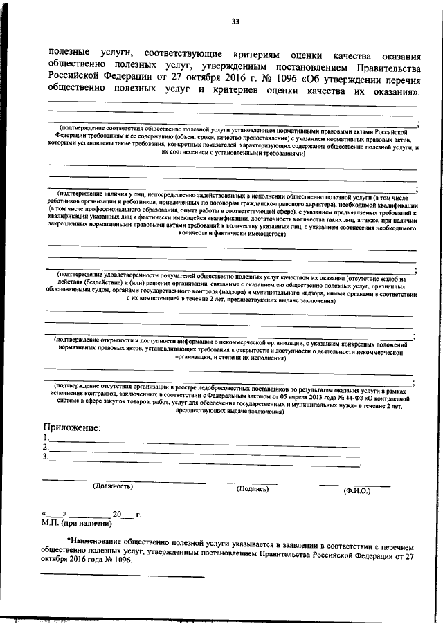
"Об утверждении административного регламента предоставления министерством труда и социальной защиты населения Рязанской области государственной услуги "Оценка качества оказания социально ориентированными некоммерческими организациями общественно полезных услуг"
Номер опубликования: 6201201908160001
Дата опубликования: 16.08.2019
Страница №33 из 34:
Увеличить