Официальное опубликование правовых актов
ОФИЦИАЛЬНОЕ ОПУБЛИКОВАНИЕ
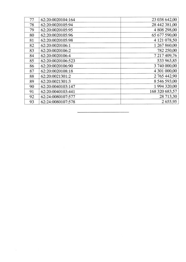
Постановление Министерства имущественных и земельных отношений Рязанской области от 19.07.2019 № 27-П
"Об утверждении результатов определения государственной кадастровой оценки земель особо охраняемых территорий и объектов на территории Рязанской области"
Номер опубликования: 6201201907220011
Дата опубликования: 22.07.2019
Страница №4 из 4:
Увеличить