Официальное опубликование правовых актов
ОФИЦИАЛЬНОЕ ОПУБЛИКОВАНИЕ
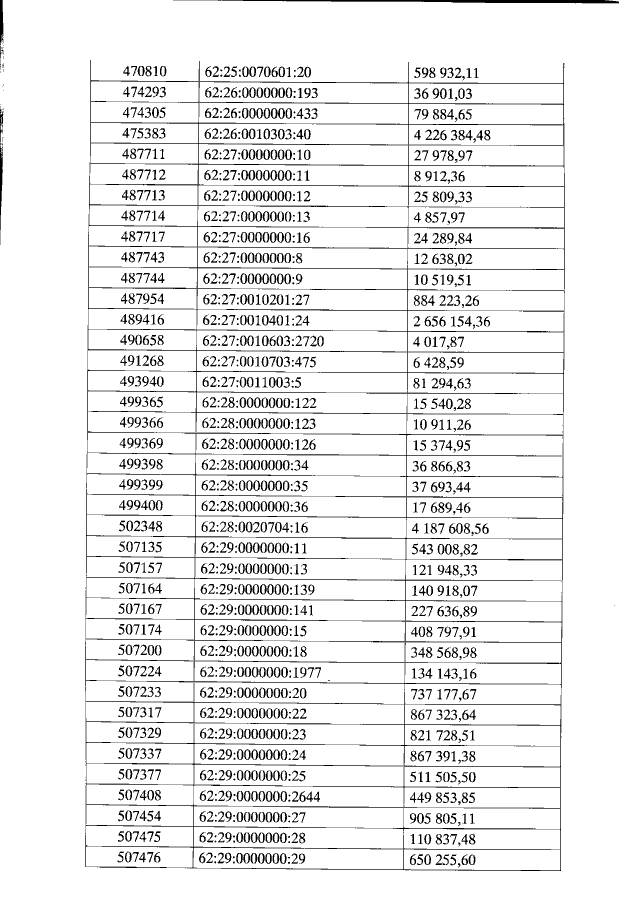
Постановление Министерства имущественных и земельных отношений Рязанской области от 05.02.2019 № 8-П
"О внесении изменений в постановление министерства имущественных и земельных отношений Рязанской области от 12.10.2018 № 22-П "Об утверждении результатов определения государственной кадастровой оценки земель населенных пунктов на территории Рязанской области" (в редакции постановления министерства имущественных и земельных отношений Рязанской области от 15.01.2019 № 2-П)"
Номер опубликования: 6201201902060002
Дата опубликования: 06.02.2019
Страница №3 из 4:
Увеличить