Официальное опубликование правовых актов
ОФИЦИАЛЬНОЕ ОПУБЛИКОВАНИЕ
Постановление Главного управления "Региональная энергетическая комиссия" Рязанской области от 13.12.2018 № 366
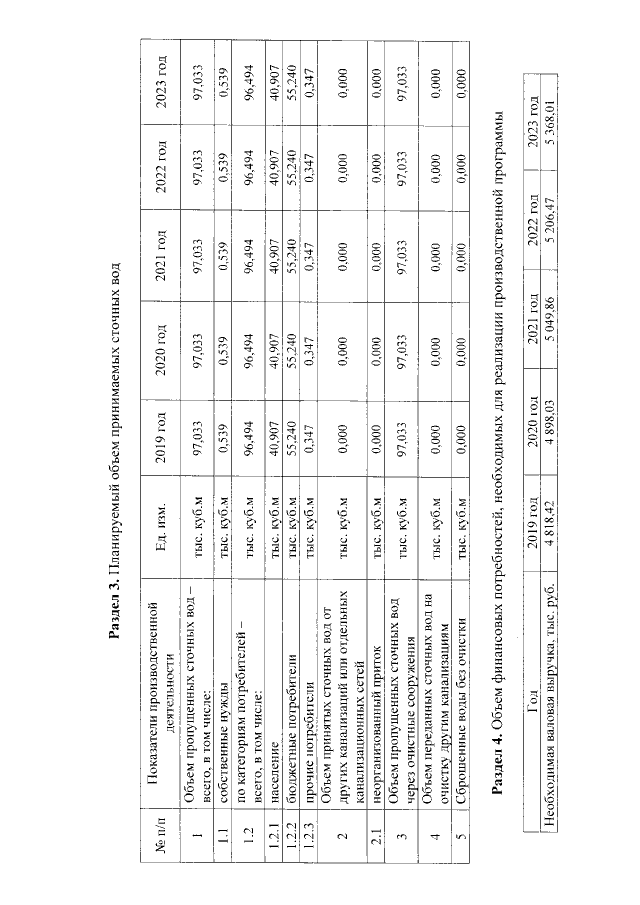
"Об установлении тарифов на питьевую воду в сфере холодного водоснабжения, водоотведение для потребителей МУП "ЖКХ Жилкомсервис г. Сасово"
Номер опубликования: 6201201812180005
Дата опубликования: 18.12.2018
Страница №9 из 15:
Увеличить