Официальное опубликование правовых актов
ОФИЦИАЛЬНОЕ ОПУБЛИКОВАНИЕ
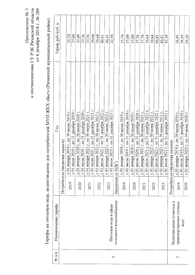
Постановление Главного управления "Региональная энергетическая комиссия" Рязанской области от 06.12.2018 № 289
"Об установлении тарифов на питьевую воду в сфере холодного водоснабжения, водоотведение (очистка и транспортировка сточных вод), водоотведение (очистка сточных вод) для потребителей МУП ЖКХ "Быт" (Рязанский муниципальный район)"
Номер опубликования: 6201201812110030
Дата опубликования: 11.12.2018
Страница №14 из 17:
Увеличить