Официальное опубликование правовых актов
ОФИЦИАЛЬНОЕ ОПУБЛИКОВАНИЕ
Постановление Главного управления "Региональная энергетическая комиссия" Рязанской области от 06.12.2018 № 294
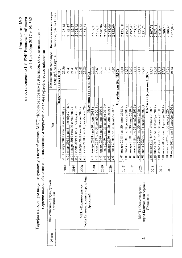
"О внесении изменений в постановление ГУ РЭК Рязанской области от 14 декабря 2017 г. № 362 "Об установлении тарифов на горячую воду для потребителей МКП "Касимовсервис" г. Касимов"
Номер опубликования: 6201201812110002
Дата опубликования: 11.12.2018
Страница №3 из 4:
Увеличить