Официальное опубликование правовых актов
ОФИЦИАЛЬНОЕ ОПУБЛИКОВАНИЕ
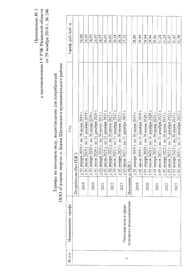
Постановление Главного управления "Региональная энергетическая комиссия" Рязанской области от 29.11.2018 № 246
"Об установлении тарифов на питьевую воду в сфере холодного водоснабжения, водоотведение для потребителей ООО "Газпром энерго" п. Борки Шиловского муниципального района"
Номер опубликования: 6201201812040021
Дата опубликования: 04.12.2018
Страница №12 из 14:
Увеличить