Постановление Главного управления "Региональная энергетическая комиссия" Рязанской области от 13.11.2018 № 166
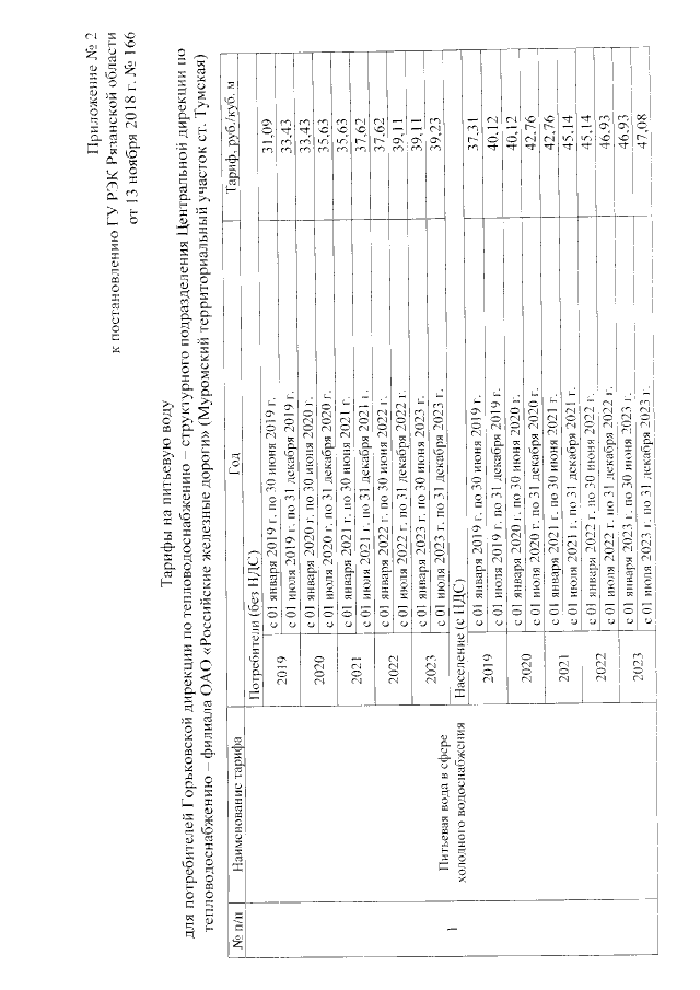
"Об установлении тарифа на питьевую воду в сфере холодного водоснабжения для потребителей Горьковской дирекции по тепловодоснабжению – структурного подразделения Центральной дирекции по тепловодоснабжению - филиала ОАО "Российские железные дороги" (Муромский территориальный участок ст. Тумская)"
"Об установлении тарифа на питьевую воду в сфере холодного водоснабжения для потребителей Горьковской дирекции по тепловодоснабжению – структурного подразделения Центральной дирекции по тепловодоснабжению - филиала ОАО "Российские железные дороги" (Муромский территориальный участок ст. Тумская)"
Номер опубликования: 6201201811160002
Дата опубликования:
16.11.2018
