Официальное опубликование правовых актов
ОФИЦИАЛЬНОЕ ОПУБЛИКОВАНИЕ
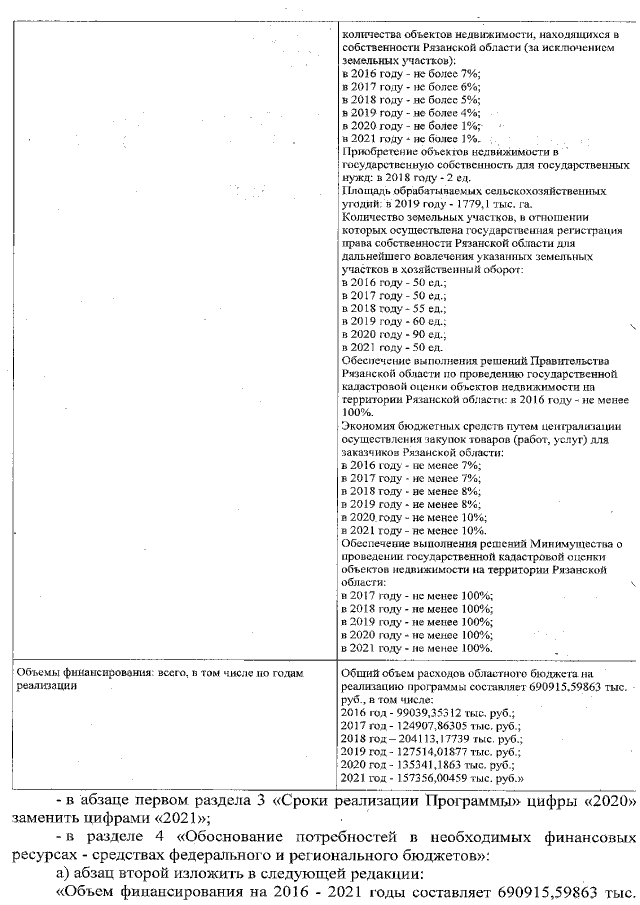
Постановление Министерства имущественных и земельных отношений Рязанской области от 30.10.2018 № 24-П "О внесении изменений в постановление министерства имущественных и земельных отношений Рязанской области от 14.10.2015 № 9-П "Об утверждении ведомственной целевой программы "Повышение эффективности управления государственным имуществом Рязанской области на 2016-2020 годы" (в редакции постановлений министерства имущественных и земельных отношений Рязанской области от 29.03.2016 № 14-П, от 15.07.2016 № 23-П, от 31.08.2016 № 26-П, от 26.12.2016 № 36-П, от 21.03.2017 № 8-П, от 25.08.2017 № 25-П, от 17.10.2017 № 34-П, от 26.03.2018 № 6-П, от 03.05.2018 № 11-П, от 01.06.2018 № 13-П, от 16.07.2018 № 15-П, от 16.08.2018 № 17-П)"
Номер опубликования: 6201201811010001
Дата опубликования: 01.11.2018
Страница №2 из 5:
Увеличить