Официальное опубликование правовых актов
ОФИЦИАЛЬНОЕ ОПУБЛИКОВАНИЕ
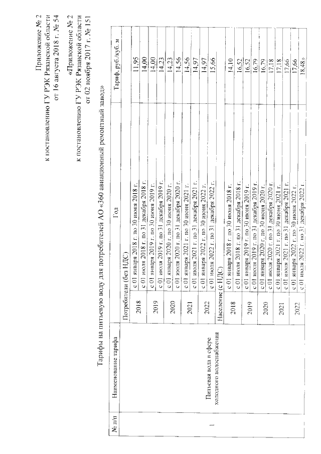
Постановление Главного управления "Региональная энергетическая комиссия" Рязанской области от 16.08.2018 № 54 "О внесении изменений в постановление ГУ РЭК Рязанской области от 02 ноября 2017 г. № 151 "Об установлении тарифов на питьевую воду в сфере холодного водоснабжения для потребителей АО "360 авиационный ремонтный завод"
Номер опубликования: 6201201808200005
Дата опубликования: 20.08.2018
Страница №3 из 3:
Увеличить