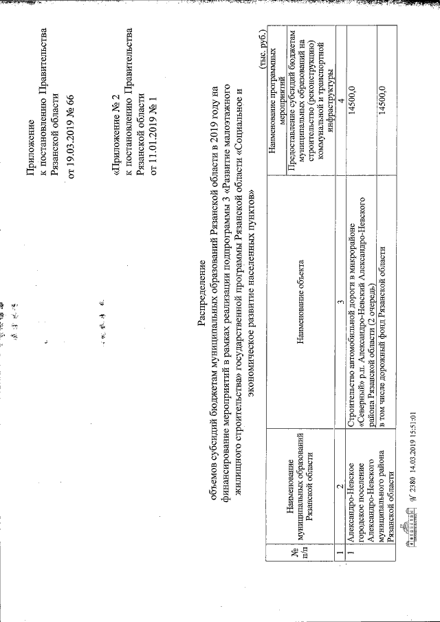
Постановление Правительства Рязанской области от 19.03.2019 № 66
"О внесении изменений в постановление Правительства Рязанской области от 11.01.2019 № 1 "Об утверждении распределения объемов субсидий бюджетам муниципальных образований Рязанской области в 2019 году на реализацию государственной программы Рязанской области "Социальное и экономическое развитие населенных пунктов" (в редакции постановления Правительства Рязанской области от 05.02.2019 № 24)"
"О внесении изменений в постановление Правительства Рязанской области от 11.01.2019 № 1 "Об утверждении распределения объемов субсидий бюджетам муниципальных образований Рязанской области в 2019 году на реализацию государственной программы Рязанской области "Социальное и экономическое развитие населенных пунктов" (в редакции постановления Правительства Рязанской области от 05.02.2019 № 24)"
Номер опубликования: 6200201903250009
Дата опубликования:
25.03.2019
