Официальное опубликование правовых актов
ОФИЦИАЛЬНОЕ ОПУБЛИКОВАНИЕ
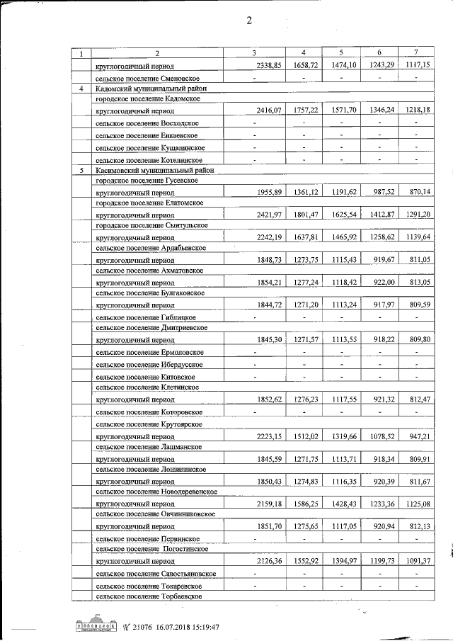
Постановление Правительства Рязанской области от 31.07.2018 № 215
"О региональном стандарте стоимости жилищно-коммунальных услуг"
Номер опубликования: 6200201808060005
Дата опубликования: 06.08.2018
Страница №4 из 49:
Увеличить